Lexikon der Arzneipflanzen und Drogen: Rifampicin
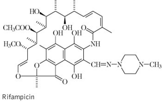
Rifampicin
Ansamakrolid-Antibiotikum, das partialsynthetisch aus Rifamycinen hergestellt wird. Wirk.: Transkriptionshemmung durch Bindung an die DNA-abhängige RNA-Polymerase. Anw.: zur Basis-Therapie der Tuberkulose.

Copyright 1999 Spektrum Akademischer Verlag, Heidelberg
Wenn Sie inhaltliche Anmerkungen zu diesem Artikel haben, können Sie die Redaktion per E-Mail informieren. Wir lesen Ihre Zuschrift, bitten jedoch um Verständnis, dass wir nicht jede beantworten können.