start


Start
Web-Artikel
Lexikon
Vorträge
Ausbildung
Essays
Rhetorik
Links
Autor
Kontakt

Lexikon - A 2 Lexikon - A 4

Astro-Lexikon A 3


pdf AA
pdf A-ZA-Z

Alfvén-Zahl

Eine der charakteristischen, dimensionslosen Zahlen der Magnetohydrodynamik (MHD), die man nutzt, um das System oder eine entsprechende Computersimulation zu beschreiben.
Sie ist definiert als Wurzel des Quotients aus dem Quadrat der Alfvén-Geschwindigkeit VA über dem Quadrat einer charakteristischen Geschwindigkeit V0 im System.

Allgemeine Relativitätstheorie

Die Allgemeine Relativitätstheorie, kurz ART (engl. General Relativity, GR), ist eine Theorie der Gravitation, die die klassische Theorie des englischen Physikers und Mathematikers Isaac Newton (1643 - 1727) ablöste. Die ART bietet völlig neue Einsichten in die Natur der Schwerkraft und muss deshalb als revolutionär eingestuft werden: Quantentheorie und Relativitätstheorie sind die bedeutendsten physikalischen Theorien des 20. Jahrhunderts, und ihre Bedeutung ist bis heute für die moderne Physik zentral!

Neudefinition elementarer Begriffe & Grundaussagen der ART

Beide Theorien haben das naturwissenschaftliche Weltbild entscheidend modifiziert und geprägt: unsere Vorstellungen von Raum, Zeit, Materie und Energie wurden neu definiert. Die wesentliche Aussage der ART ist, dass jede Form von Energie (auch Materie) die Raumzeit krümmt. Die Raumzeit ist eine vierdimensionale Mannigfaltigkeit, die sich aus den drei Raumdimensionen (Länge, Breite, Höhe) und der Zeitdimension zusammensetzt. Dieses geometrische Gebilde wird durch die Metrik bzw. das Linienelement eindeutig festgelegt. Seine morphologischen Eigenschaften werden durch Energie und Materie verändert. Die Raumzeit ist vierdimensional; vereinfachend kann man sie sich in zwei Dimensionen wie eine dünne, dehnbare Haut vorstellen, die durch darauf befindliche Massen Dellen bekommt ('Gummimatten-Modell'). Ohne Massen hat die Haut keine Dellen, sie ist eben. Solche Raumzeiten heißen flach. Ein Testkörper, der nun auf eine durch Massen eingedellte Haut gelegt wird, muss unweigerlich der Krümmung folgen. Deshalb bewegt sich der Testkörper in einer gekrümmten Raumzeit oder anders gesagt: er fällt im freien Fall. Die Bewegungslinien heißen Geodäten und sind verschiedenen, je nachdem, ob der Testkörper eine Ruhemasse hat (Materie) oder nicht (Licht). Diese geometrische Interpretation der Gravitation löste somit den Kraftbegriff Newtons ab.

Albert Einstein - Pop-Ikone der Physik

Die Relativitätstheorie geht auf den deutschstämmigen Physiker Albert Einstein (1879 - 1955) zurück. Er entwickelte zunächst die Spezielle Relativitätstheorie (SRT), die er 1905 veröffentlichte. Dies ist eine Theorie der gegeneinander gleichförmig geradlinig bewegten Bezugssysteme (Inertialsysteme), die bereits das Kontinuum von Raum und Zeit offen legte (siehe z.B. Lorentz-Transformation). Die zentralen Aspekte der SRT sind die Äquivalenz von Masse und Energie (E = mc2) und die Konstanz der Lichtgeschwindigkeit c in allen Inertialsystemen. Einstein postulierte diese Konstanz und folgerte erstaunliche Effekte auf Raum und Zeit, wie die Längen-Kontraktion und Zeitdilatation, die tatsächlich experimentell bestätigt werden konnten.
In den darauf folgenden Jahren, von 1907 bis 1915, verallgemeinerte Einstein die Gleichförmigkeit der Bewegung auf Beschleunigungen. Dieser Ansatz mündete in eine neue Theorie der Gravitation, der Allgemeinen Relativitätstheorie, die er 1916 veröffentlichte. Allgemein ist sie in dem Sinne, weil die Relativbewegungen zwischen den Bezugsystemen verallgemeinert wurden und beliebig sein können. Die SRT hingegen gilt nur für ganz bestimmte Relativbewegungen, nämlich gleichförmig geradlinige; in diesem Sinne ist sie speziell.
Eine wesentliche Basis der Relativitätstheorie ist das Relativitätsprinzip. Danach sind alle zueinander gleichförmig geradlinig bewegten Bezugssysteme völlig gleichberechtigt. Identische physikalische Experimente, die man in relativ zueinander gleichförmig bewegten Systemen durchführt, liefern gleiche Ergebnisse. Insbesondere sind relativ in Ruhe befindliche Systeme ununterscheidbar von gleichförmig geradlinig bewegten Systemen. Das Relativitätsprinzip wurde in der ART auf beschleunigte Systeme verallgemeinert. Dann heißt es Äquivalenzprinzip und besagt, dass es prinzipiell nicht möglich ist, träge von schwerer Masse zu unterscheiden. Das bedeutet, dass man nicht entscheiden kann, ob eine Masse durch eine konstante Kraft beschleunigt wird oder in einem Gravitationsfeld frei fällt. Außerdem gilt nach dem Prinzip der allgemeinen Relativität, dass alle Beobachter gleichberechtigt sind.

Anspruchsvolle Mathematik der ART

Mathematisch bedient sich die ART den Tensoren, die die bündige Vektorschreibweise Newtons ablöste und weiter verallgemeinerte. Sie sind auf geometrischen Gebilden, den Mannigfaltigkeiten, definiert und können physikalisch interpretiert werden (siehe dazu die Tensoren im Glossar). Die Tensoren sind eingebettet in den Formalismus der Differentialgeometrie. Nach dem Prinzip der allgemeinen Kovarianz sollten alle Gleichungen der Physik tensorielle Form haben. Neben diesen Prinzipien leiteten Einstein auch das Korrespondenzprinzip, das Machsche Prinzip und das Prinzip der minimalen gravitativen Kopplung. Die Allgemeine Relativitätstheorie wird zu recht Albert Einstein zugesprochen, aber man muss vielen anderen Physikern und Mathematikern zugute halten, das ihr Denken Einstein nachhaltig beeinflusste. Die Tensoren als zwingende Objekte der ART, die erst einen koordinatenunabhängigen Zugang möglich machten, waren bereits von den Mathematikern gefunden worden. Philosophische Aspekte von Bewegung und Trägheit, die in die ART mündeten, wurden bereits vom österreichischen Physiker Ernst Mach (1838 - 1916) vorweggenommen. Insofern war die Zeit auch reif für eine Allgemeine Relativitätstheorie.

Die Feldgleichung der Gravitation

Die wichtigsten Tensoren der ART sind der Einstein-Tensor, der die Information über die gekrümmte Raumzeit enthält, und der Energie-Impuls-Tensor, der die physikalische Information über die Energieformen (wie auch Materie) enthält. Beide Tensoren werden in den fundamentalen Einsteinschen Feldgleichungen der ART miteinander verknüpft. Der physikalische Gehalt dieser Verknüpfung ist, dass einerseits jede Energie die Metrik krümmt und andererseits die Metrik dasjenige geometrische Gebilde festlegt, auf dem die Energie lokalisiert ist. Lakonisch formuliert: 'Die Geometrie sagt der Materie, wie sie sich bewegen soll, und die Materie diktiert der Geometrie wie sie sich zu krümmen hat.'.

Die Einsteinschen Feldgleichungen der Allgemeinen Relativitätstheorie in tensorieller Form

Die Feldgleichungen haben tensoriell eine sehr einfache Gestalt, wie die Gleichung oben zeigt (hier ohne Λ-Term). Die kompakte Notation ist auch gerechtfertigt, weil sie das Wesen der Symbiose aus gekrümmter Raumzeit und Energie enthüllt. Doch die so scheinbare, mathematische Einfachheit täuscht: die Feldgleichungen der ART sind an sich 16 Gleichungen, von denen sechs aufgrund der Symmetrie der Tensoren nicht betrachtet werden müssen. Einstein-Tensor und Energie-Impuls-Tensor sind Tensoren zweiter Stufe. Jeden von ihnen kann man als 4 × 4 - Matrix darstellen. Die Tensorsymmetrie reduziert die daraus resultierenden 4 × 4 = 16 Gleichungen auf nur 10 Gleichungen. Die verbleibenden zehn Gleichungen sind miteinander gekoppelt. Zudem sind die Gleichungen partielle Differentialgleichungen, die auch noch nicht-linear sind. Die Nichtlinearität der Gleichungen ist ein Ausdruck der oben dargelegten rückseitigen Wechselbeziehung von Raumzeit und Energie. Die Kopplungskonstante der Einsteinschen Feldgleichungen (siehe Gleichung oben, Zahlenwert von 8π) kann man aus einem Korrespondenzprinzip ableiten: im Grenzfall schwacher Gravitationsfelder und kleiner Geschwindigkeiten gegenüber der Vakuumlichtgeschwindigkeit c muss die ART in die Newtonsche Theorie übergehen. Die Kopplungskonstante folgt dann aus einem Vergleich von Einsteinschen Feldgleichungen und Poisson-Gleichung. Für den Gleichungstypus, wie ihn die Feldgleichungen der ART zeigt, bietet die Mathematik keinerlei Patentrezepte, um die allgemeine Lösung zu notieren. Die Gleichungen werden deshalb vereinfacht und man betrachtet verschiedene Sektoren der Feldgleichungen. Mal setzt man den Energie-Impuls-Tensor null und betrachtet nur Vakuumlösungen, mal setzt man bestimmte Symmetrien der Lösungen (Kugel- oder Achsensymmetrie) voraus, mal betrachtet man nur Raumzeiten konstanter Krümmung - aber auch dann findet man nur spezielle Lösungen. Die Allgemeine Relativitätstheorie birgt sicher noch viele gekrümmte Mannigfaltigkeiten, die in der Natur vorkommen, die aber bis heute niemand kennt.
Die Einsteinschen Feldgleichungen sind also ein kompliziertes System aus zehn partiellen, nichtlinearen, gekoppelten Differentialgleichungen. Um so erstaunlicher war es, dass bereits ein Jahr nach der Publikation der ART, im Jahr 1916, der deutsche Astrophysiker Karl Schwarzschild eine erste Lösung fand. Die nach ihm benannte (äußere) Schwarzschild-Metrik löst die Vakuumfeldgleichungen. Sie beschreibt kugelsymmetrische Raumzeiten von relativistischen Sternen und insbesondere nicht rotierende, elektrisch ungeladene Schwarze Löcher.

Konsequenzen der ART

  • Relativität von Zeit und Länge, wie schon von der Speziellen Relativitätstheorie antizipiert. Der Ablauf der Zeit hängt ganz allgemein in der Relativitätstheorie vom Bezugssystem ab. Insbesondere folgt in der ART eine Dehnung der Zeit bei Anwesenheit von Gravitationsfeldern. Zeit verrinnt langsamer in der Nähe von Massen, also stärkeren Gravitationsfeldern. Diese Dehnung der Zeit heißt gravitative Zeitdilatation.
  • Energieverlust von Strahlung im Gravitationsfeld. Die Strahlung muss Arbeit gegen das Gravitationsfeld verrichten und verliert deshalb Strahlungsenergie. Weil rote Strahlung energieärmer als blaue ist und die Ursache des Energieverlusts die Gravitation ist, heißt dieser Effekt gravitative Rotverschiebung oder Gravitationsrotverschiebung. Dies entspricht vom Effekt her prinzipiell der gravitativen Zeitdilatation, wenn man von der Frequenz- in die Zeitdarstellung geht.
  • Ablenkung von Strahlung im Gravitationsfeld. Dieses Phänomen heißt Gravitationslinseneffekt bzw. Gravitationsaberration (engl. gravitational lensing).
  • relativistische Verallgemeinerung der Binetschen Gleichung. Die ART liefert den korrekten und beobachteten Zahlenwert für die Periheldrehung des innersten Planeten Merkur. Periheldrehung bezeichnet die Drehung der Apsidenlinie, also der Verbindungslinie von sonnennächsten Punkt (Perihel) mit dem sonnenfernsten Punkt (Aphel) der Merkurbahn, im Raum. Die Ellipse der Merkurbahn ist also nicht geschlossen, sondern dreht sich im Raum, so dass eine Rosettenform der Bahnbewegung rotiert. Die Ursache dieses Phänomens ist die gravitative Wechselwirkung des Merkurs mit der schweren Sonne. Die Periheldrehung gibt es auch in der Newtonschen Gravitationsphysik, aber nur die ART erklärt den exakten, gemessenen Betrag. Die Periheldrehung ist nur bei Merkur von Belang, weil er der Sonne am nächsten steht und damit der beste Indikator für relativistische Gravitation ist.
  • Emission von Gravitationswellen von beschleunigten Massen. Auf diese Weise breiten sich Veränderungen des Gravitationsfeldes/von Krümmungen in der Raumzeit mit Lichtgeschwindigkeit aus. Gravitationswellen wurden bisher nicht direkt beobachtet.

Vielfache experimentelle Bestätigungen

Alle diese Phänomene wurden experimentell verifiziert und gelten als glänzende Bestätigungen der ART. Erste experimentelle Erfolge konnte die ART bereits 1919 bei einer Sonnenfinsternis in Afrika erzielen, weil sie richtig die Lichtablenkung an der Sonne prognostizierte. Ebenfalls konnte die Periheldrehung des Merkur korrekt berechnet werden. Die beobachtete Diskrepanz von etwa 43 Bogensekunden pro Jahrhundert für die Verschiebung der elliptischen Planetenbahn wurde durch die ART bestens erklärt. 1993 wurde die indirekte Bestätigung der Emission von Gravitationswellen bei dem Binärpulsar PSR 1913+16 mit dem Nobelpreis prämiert: Hulse und Taylor konnten experimentell nachweisen, dass sich die Pulsare sukzessiv annähern, weil das Doppelsternsystem Rotationsenergie durch die Abstrahlung von Gravitationswellen verliert.

Einsteins Kosmos

Kosmologisch hat die ART eine Relevanz, weil sie als erste physikalische Theorie des Weltalls anzusehen ist. Die Welt ist danach vierdimensional und lokal im Allgemeinen nicht Euklidisch. Ob das Universum global Euklidisch oder nicht ist, hängt davon ab, welches Friedmann-Weltmodell vorliegt. Diese Frage ist nach wie vor Gegenstand der modernen Kosmologie. So muss der genaue Energiegehalt des Universums gemessen werden (siehe auch Missing-Mass Problem). Aktuell wird ein unendliches, offenes, expandierendes und flaches Universum indiziert und favorisiert (Messungen von Ballonexperimenten und des Mikrowellen-Satelliten WMAP). Dessen Dynamik wird von der Dunklen Energie dominiert, die neben baryonischer Materie und Dunkler Materie die gewichtigste Energieform stellt. Mathematisch beschreibt man dieses vierdimensionale Universum global mit der Robertson-Walker-Metrik. Der Materieinhalt wird mit einer relativistischen, idealen Flüssigkeit beschrieben. Die Dunkle Energie wird im kosmologischen Lambda-Term in den Feldgleichungen realisiert. Es wird in der modernen Kosmologie in Erwägung gezogen, dass die kosmologische Konstante nicht konstant ist, sondern zeitlich variieren kann. Diese Modelle heißen Quintessenzen. Die Lambda-Kosmologie und die Suche nach einer Weltformel gehörten zu Einsteins letzten Arbeiten. Einstein rechtfertigte sein Lambda damit, dass es ein seinerzeit favorisiertes Statisches Universum ermögliche. Als jedoch das expandierende Universum beobachtet wurde (Hubble-Effekt), zog Einstein sein Lambda zurück und bezeichnete es als 'die größte Eselei seines Lebens'. Moderne kosmologische Modelle benötigen ihn, weil er ein wichtiger Parameter ist, um Beobachtungen erklären zu können. Anschaulich wird das Lambda-Glied so interpretiert, dass bereits das Quantenvakuum eine Energie zur Verfügung stellt (Vakuumpolarisationen), die die Raumzeit krümmt. Diese Interpretation ist jedoch noch nicht gefestigt und wird im Rahmen der Quintessenz untersucht.

Extreme der Gravitation: kompakte Sterne

Die ART liefert eine mathematische Beschreibung für Schwarze Löcher, die in diesem Zusammenhang eine Lösung der Vakuum-Feldgleichungen bzw. Einstein-Maxwell Feldgleichungen darstellen. Die Gravitationsfelder dieser Kompakten Objekte sind so stark, dass die Newtonsche Theorie versagt. Andere Kompakte Objekte, wie Neutronensterne, Magnetare, Quarksterne und Gravasterne sind ebenfalls nur mit der ART korrekt zu beschreiben. Die relativistischen Korrekturen bei Weißen Zwergen sind hingegen marginal: Hier verwenden Astrophysiker häufig noch die Newtonsche Theorie, um die die Strukturgleichungen (Lane-Emden-Gleichung) des kompakten Sterns abzuleiten. Aber die Stabilität des Weißen Zwergs ist nur relativistisch erklärbar. Nun ist relativistisch aber im Sinne der speziell relativistischen Quantenmechanik (und nicht der Allgemeinen Relativitätstheorie) zu verstehen. Denn: der Spin der Elektronen, einer wesentlichen Teilchenspezies im Innern Weißer Zwerge (neben Kohlenstoff), sorgt für den stabilisierenden Entartungsdruck.

Über die Grenzen von Einsteins größtem Wurf

Die ART ist eine klassische Theorie, klassisch nun im Sinne von nicht quantisiert zu verstehen, weil Quanteneigenschaften, wie Orts-Impuls-Unschärfe oder das Quantenvakuum nicht eingehen. Es gibt Bereiche der Natur bzw. der Physik, wo auch die ART versagt. Man kann den Parameterraum, wo dies geschieht mit starken Gravitationsfeldern in Verbindung mit sehr kleinen, atomaren und subatomaren Raumskalen umreißen. Das führt auf die Planck-Skala.
Auch das Auftreten von Singularitäten könnte als Indiz gewertet werden, dass die Theorie modifiziert oder durch eine übergeordnete Theorie, einer Quantengravitation, ersetzt werden muss. Gemäß der Singularitätentheoreme von Hawking und Penrose sind Singularitäten etwas 'Natürliches' und unabhängig von der ART. Das Beispiel der Gravasterne zeigt jedoch, dass man zumindest die Singularität des Schwarzschild-Loches durch eine reguläre Alternative ersetzen kann. Regularität ist für viele Physiker außerordentlich attraktiv. In diesem Sinne ist die Singularitäten-Frage noch nicht geklärt und muss durch experimentelle und theoretische Forschung weiter erörtert werden. Dies könnte so ausgestaltet sein, dass es Astronomen gelänge, Singularitäten oder Gravasterne tatsächlich zu bestätigen oder dass Theoretikern die Formulierung einer robusten Quantengravitation glückt. Lange Zeit wurden die Stringtheorien als einziger Weg zur Quantengravitation angesehen. Die aktuelle Forschung hat in Form der Loop-Quantengravitation eine weitere Alternative gefunden. Die Loop-Quantengravitation kann als direkte Weiterentwicklung der Allgemeinen Relativitätstheorie angesehen werden, die den Konzepten der Quantenmechanik versucht gerecht zu werden. In der Beschreibung der Natur hat sich bisher weder die Stringtheorie, noch die Loop-Quantengravitation bewährt. Die Entwicklung von Bewährungsproben hat bereits begonnen und wird sicherlich in den nächsten Jahren verstärkt verfolgt werden.

Kein Platz für Zweifler

Eines ist jedoch klar: Behauptungen, wie 'Die Relativitätstheorie ist falsch!' oder 'Einstein irrte!' sind von der Hand zu weisen, unseriös und absolut anachronistisch. Die ART wurde durch viele Experimente bestens verifiziert und ist eine (im Popperschen Sinne der Wissenschaftstheorie) bewährte Theorie. Wie bei der Newtonschen Theorie bzw. generell bei physikalischen Theorien, gibt es auch bei der ART einen Gültigkeitsrahmen, der bei bestimmten Parametern (starke Felder, kleine Raumskalen) in ein Versagen der Theorie mündet. Das Versagen wird durch divergierende Größen, wie Krümmung oder Dichte, und womöglich schon durch das Auftreten von Singularitäten signalisiert. Jede der ART übergeordnete Theorie muss aber die Allgemeine Relativität als Grenzfall enthalten, ebenso wie die ART die Newtonsche Theorie enthält. Deshalb wird auch nach dem Auffinden einer robusten Quantengravitation die ART ihre Daseinsberechtigung behalten!

Lesehinweis zur Vertiefung

Außerhalb des Lexikons finden Sie einen ausführlichen Artikel zu wichtigen Objekten der Allgemeinen Relativitätstheorie und der Astrophysik: Schwarze Löcher - Das dunkelste Geheimnis der Gravitation.

Alpha-Zerfall

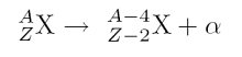
Alpha-Zerfall eines Kerns X mit Atommasse A und Kernladungszahl Z Eine der drei Formen von Radioaktivität neben Beta- und Gamma-Zerfall. Bei der Radioaktivität senden bestimmte Atomkerne (Fachbegriff: Radionuklide) bestimmte Materieteilchen (Elektronen, Positronen, Heliumatomkerne, auch Neutronen) oder hochenergetische, elektromagnetische Strahlung aus. Radioaktivität ist aufgrund seiner stark ionisierenden Wirkung gefährlich für Leben! Teilweise kann Radioaktivität schon mit einfachen Mitteln abgeschirmt und somit 'entschärft' werden.

Was genau ist nun α-Zerfall?

Die Radionuklide beim α-Zerfall sind so genannte α-Strahler, d.h. sie senden Heliumatomkerne, einen Verbund aus zwei Protonen und zwei Neutronen, aus. Diese He-Kerne nennt man dann α-Teilchen (nicht zu verwechseln mit dem α-Männchen bei den Wölfen). Die Reaktionsgleichung ist in allgemeiner Form für einen beliebigen Atomkern X mit der Protonenanzahl Z (Ordnungszahl des Elements) und der Atommasse A (Summe der Anzahl aus im Atomkern gebundenen Protonen und Neutronen) rechts oben notiert. Sendet der Kern X ein Alpha-Teilchen aus, so reduziert sich seine Atommasse um vier und die Ordnungszahl um zwei, d.h. es hat eine Nuklearreaktion in Form einer Umwandlung des Elements stattgefunden. Die entsprechenden Verschiebungen im Periodensystem der Elemente bzw. auf der Nuklidkarte regeln die so genannten Soddy-Fajans-Verschiebungssätze. Wie immer in der Physik gelten bei diesen Reaktionen Erhaltungssätze (z.B. für Masse, Energie und Teilchensorte), so dass das, was auf der linken Seite steht der Summe der Komponenten auf der rechten Seite entsprechen muss. Die Masse eines Alpha-Teilchens beträgt 3.7274 GeV (berücksichtige 'Massendefekt' durch Bindung der vier Nukleonen).

Die Ursache ist nur quantentheoretisch zu verstehen

Erst durch die Quantentheorie war es möglich, diese Form von Radioaktivität (die anderen beiden auch) zu erklären. Der Tunneleffekt ermöglicht es dem Alpha-Teilchen durch die Coulombbarriere des Atomkerns zu 'tunneln' und den Kern zu verlassen: der Kern emittiert Alpha-Strahlung.
Diese Strahlung ist für das Leben die gefährlichste der radioaktiven Strahlungen, weil die biologische Schädigung der schweren Alpha-Teilchen enorm ist. Zum Glück ist Alpha-Strahlung aufgrund der hohen Masse (und Ladung) der He-Atomkerne kurzreichweitig und lässt sich bereits durch ein Blatt Papier wirksam abschirmen.

AMR

In vielen Bereichen der theoretischen Astrophysik und generell in der Strömungsmechanik benutzt man die Gleichungen der Hydrodynamik (HD) und Magnetohydrodynamik (MHD). In der Astrophysik haben sie sich bewährt, um die Dynamik zahlreicher kosmischer Objekte auf dem Computer zu simulieren. Die Gleichungen können auf ganz unterschiedlichen Längenskalen eingesetzt werden, je nachdem, wie groß die betrachteten Körper sind.
Manchmal sind die Objekte sehr ausgedehnt und es interessiert die Dynamik auf vielen Skalen gleichzeitig - in ein und derselben Simulation. Ein Beispiel ist die Akkretion auf ein supermassereiches Schwarzes Loch in einem Aktiven Galaktischen Kern (AGN) oder die Ausbreitung eines großskaligen Jets, der vom AGN emittiert wird. Dann muss man Verfahren finden, die die Dynamik auf vielen Größenskalen abbilden können ohne die Hardwareanforderungen zu überschreiten. Diese Techniken heißen Adaptive Gittermethoden (engl. adaptive mesh refinement, AMR). Um dies zu verstehen, muss zunächst erläutert werden, was ein numerisches Gitter ist.

So geht es in der Praxis

In HD/MHD-Simulationen zerlegt man das zu untersuchende Gebiet (engl. solution domain) in kleinere Zellen. Es handelt sich um ein Verfahren der Diskretisierung, die notwendig ist, um überhaupt Numerik betreiben zu können. Auf jeder Zelle, die mit Ortskoordinaten im Gebiet eindeutig fixiert ist, nimmt eine physikalische Funktion bestimmte Werte an. Typische Funktionen sind in der Hydrodynamik Druck, Dichte und Temperatur, in der Magnetohydrodynamik Magnetfeld, magnetischer Druck und Alfvén-Geschwindigkeit. Sie variieren räumlich über das betrachtete Gebiet, aber auch zeitlich, wenn man sich z.B. eine bestimmte Zelle herausnimmt und deren Zeitentwicklung separat studiert. Die Dynamik steckt in der Zeitabhängigkeit. Die kleineren Zellen, im einfachsten Fall Quadrate (2D) oder Würfel (3D), formen ein (hier äquidistantes) Gitter. Im Beispiel handelt es sich um ein regelmäßiges, strukturiertes Gitter. Daneben kann man den Bereich auch in ein unstrukturiertes Gitter zerlegen, was man häufig bei Finite Elemente Methoden findet. AMR passt nun die Feinheit des Gitters, also die Größe der Gitterzellen, in jedem Bereich des Gitters unterschiedlich an. Das Kriterium ist, ob sich die betreffende Größe stark in einer bestimmten Region des Gitters ändert oder mehr oder weniger konstant bleibt. Nur dort wo sie sich stark ändert, muss stärker aufgelöst werden, d.h. das Gitter verfeinert werden. Diese Gitter nennt man adaptiv. Ein Maß für die räumliche Variation einer Größe ist der Gradient. Er kann als Kontrollparameter für die AMR benutzt werden. AMR ist ein numerisch effizientes Verfahren, weil es die Ressourcen der Hardware nur dort bündelt, wo Strukturen auftreten, also 'etwas Interessantes' geschieht.

anthropisches Prinzip

anthropos, altgrch. Mensch Dieses Prinzip, benannt nach dem altgriechischen Wort anthropos für Mensch, findet Anwendung in der Kosmologie und besagt verkürzt:

Wir sehen das Universum so, wie es ist, weil wir hier sind, um es zu sehen.

Ausgangspunkt des anthropischen Prinzips ist die Frage nach der Beschaffenheit des Universums. Warum ist es gerade so, wie wir es beobachten, und nicht anders? Die Antwort liegt nach Auslegung des anthropischen Prinzips in unserer Existenz: physikalisch sind durchaus andere Realisierungen des Universums denkbar. Weil aber nur bestimmte, mögliche Universen die Existenz des Menschen zulassen, muss das Universum so sein, wie wir es beobachten, denn wir sind hier, um es zu beobachten.

Zwei Formulierungen des anthropischen Prinzips

  • schwaches anthropisches Prinzip: Die Bedingungen für die Entwicklung des Lebens werden nur in bestimmten Gebieten des Weltalls angetroffen.
  • starkes anthropisches Prinzip: Die Bedingungen für die Entwicklung des Lebens werden nur in wenigen Universen angetroffen.

Das schwache anthropische Prinzip besagt, dass das Universum zunächst eine Entwicklung durchmachen muss, bevor Leben entsteht. Die Entwicklung geht über die Bildung der Teilchenspezies, Atomen und Molekülen, dem Verklumpen von intergalaktischer Materie zu Galaxien aus gravitativen Instabilitäten, der Entstehung von Sternen in Galaxien, der Bildung von Planeten um einige Sterne bis hin zur Entstehung des Lebens auf ausgewählten Planeten. Dieser Prozess dauert seine Zeit, augenscheinlich so lange, wie unser Universum gebraucht hat: etwa 13.7 Milliarden Jahre. Das lokale Universum (bei einer kosmologischen Rotverschiebung von z = 0) erfüllt demnach erst die Bedingungen für Leben. Wie jeder weiß: Die Beobachtung stützt dies.
Das starke anthropische Prinzip ist eine Modifikation, die mit der Viele-Welten-Theorie aufkam. Im Rahmen einer Quantenkosmologie kann man Mechanismen der Quantentheorie auf kosmologische Modelle übertragen: die Erzeugung und Vernichtung von Teilchen besitze eine Analogie in der Erzeugung und Vernichtung von Universen! Dies führe gemäß Everett und Wheeler auf die Interpretationsmöglichkeit, dass nicht nur ein Universum entstehen kann, sondern viele, ein kosmisches Kommen und Gehen. Aber auch in diesem Multiversum könnten nur bestimmte Universen die Bedingungen für Leben erfüllen, daher die obige Formulierung des starken anthropischen Prinzips.

pdf AA
pdf A-ZA-Z

nach oben

Lexikon - A 2 Lexikon - A 4


Start - Web-Artikel - Lexikon - Vorträge - Ausbildung - Essays - Rhetorik - Links - Autor - Kontakt
Andreas Müller © Andreas Müller, August 2007

Index

A
Abbremsparameter
ADAF
ADD-Szenario
ADM-Formalismus
AdS/CFT-Korrespondenz
AGB-Stern
Äquivalenzprinzip
Akkretion
Aktiver Galaktischer Kern
Alfvén-Geschwindigkeit
Alfvén-Zahl
Allgemeine Relativitätstheorie
Alpha-Zerfall
AMR
anthropisches Prinzip
Antigravitation
Antimaterie
Apastron
Apertursynthese
Aphel
Apogäum
Astronomie
Astronomische Einheit
asymptotisch flach
Auflösungsvermögen
Axion
AXP
B
Balbus-Hawley- Instabilität
Bardeen-Beobachter
Baryogenese
Baryonen
baryonische Materie
Bekenstein-Hawking- Entropie
Beobachter
Beta-Zerfall
Bezugssystem
Bianchi-Identitäten
Big Bang
Big Bounce
Big Crunch
Big Rip
Big Whimper
Birkhoff-Theorem
Blandford-Payne- Szenario
Blandford-Znajek- Mechanismus
Blauverschiebung
Blazar
BL Lac Objekt
Bogenminute
Bogensekunde
Bosonen
Bosonenstern
Boyer-Lindquist- Koordinaten
Bran
Brans-Dicke- Theorie
Brauner Zwerg
Brill-Wellen
Bulk
C
Carter-Konstante
Casimir-Effekt
Cauchy-Fläche
Cepheiden
Cerenkov-Strahlung
Chandrasekhar-Grenze
Chaplygin-Gas
Chiralität
Christoffel-Symbol
CMB
CNO-Zyklus
Comptonisierung
Cosmon
C-Prozess
D
Deep Fields
Derricks Theorem
de-Sitter- Kosmos
DGP-Szenario
Diffeomorphismus
differenzielle Rotation
Distanzmodul
Dodekaeder-Universum
Doppler-Effekt
Drei-Kelvin-Strahlung
Dunkle Energie
Dunkle Materie
E
Eddington-Finkelstein- Koordinaten
Eddington-Leuchtkraft
Effektivtemperatur
Eichtheorie
Einstein-Ring
Einstein-Rosen- Brücke
Einstein-Tensor
Eisenlinie
Eklipse
Ekliptik
Ekpyrotisches Modell
Elektromagnetismus
Elektronenvolt
elektroschwache Theorie
Elementarladung
Energie
Energiebedingungen
Energie-Impuls-Tensor
Entfernungsmodul
eos
eos-Parameter
Epizykel
Ereignishorizont
erg
Ergosphäre
eV
Extinktion
Extradimension
extragalaktisch
extrasolar
extraterrestrisch
Exzentrizität
F
Falschfarbenbild
Fanaroff-Riley- Klassifikation
Faraday-Rotation
Farbindex
Farbladung
Farbsupraleitung
Feldgleichungen
Fermi-Beschleunigung
Fermionen
Fermionenstern
Fernparallelismus
Feynman-Diagramm
FFO
FIDO
Flachheitsproblem
FLRW-Kosmologie
Fluchtgeschwindigkeit
Frame-Dragging
f(R)-Gravitation
Friedmann-Weltmodell
G
Galaktischer Schwarz-Loch-Kandidat
Galaxie
Gamma Ray Burst
Gamma-Zerfall
Geodäte
Geometrisierte Einheiten
Geometrodynamik
Gezeitenkräfte
Gezeitenradius
Gluonen
Grad
Granulation
Gravastern
Gravitation
Gravitationskollaps
Gravitationskühlung
Gravitationslinse
Gravitationsradius
Gravitations- rotverschiebung
Gravitationswellen
Gravitomagnetismus
Graviton
GRBR
Große Vereinheitlichte Theorien
Gruppe
GUT
GZK-cutoff
H
Hadronen
Hadronen-Ära
Hamilton-Jacobi- Formalismus
Harvard-Klassifikation
Hauptreihe
Hawking-Strahlung
Hawking-Temperatur
Helizität
Helligkeit
Herbig-Haro- Objekt
Hertzsprung-Russell- Diagramm
Hierarchieproblem
Higgs-Teilchen
Hilbert-Raum
Hintergrundmetrik
Hintergrundstrahlung
HLX
HMXB
Holostern
Homogenitätsproblem
Horizont
Horizontproblem
Horn-Universum
Hubble-Gesetz
Hubble-Klassifikation
Hubble-Konstante
Hydrodynamik
hydrostatisches Gleichgewicht
Hyperladung
Hypernova
Hyperonen
I
IC
Inertialsystem
Inflation
Inflaton
intergalaktisch
intermediate-mass black hole
interplanetar
interstellar
Isometrien
Isospin
Isotop
ITER
J
Jahreszeiten
Jansky
Jeans-Masse
Jet
K
Kaluza-Klein-Theorie
Kaup-Grenzmasse
Kaonen
Kataklysmische Veränderliche
Keine-Haare- Theorem
Kepler-Gesetze
Kerr-de-Sitter- Lösung
Kerr-Lösung
Kerr-Newman- de-Sitter- Lösung
Kerr-Newman- Lösung
Kerr-Schild- Koordinaten
Killing-Felder
Killing-Tensor
K-Korrektur
Koinzidenzproblem
Kollapsar
Kompaktes Objekt
Kompaktheit
Kompaktifizierung
Kompaneets-Gleichung
konforme Transformation
Kongruenz
Koordinatensingularität
Kopenhagener Deutung
Korona
Korrespondenzprinzip
Kosmische Strahlung
Kosmische Strings
Kosmographie
Kosmologie
Kosmologische Konstante
Kosmologisches Prinzip
kovariante Ableitung
Kovarianzprinzip
Kreisbeschleuniger
Kretschmann-Skalar
Krümmungstensor
Kruskal-Lösung
Kugelsternhaufen
L
Laborsystem
Ladung
Lagrange-Punkte
Lambda-Universum
Lapse-Funktion
Laserleitstern
Lense-Thirring- Effekt
Leptonen
Leptonen-Ära
Leptoquarks
Leuchtkraft
Leuchtkraftdistanz
Levi-Civita- Zusammenhang
Licht
Lichtjahr
Lichtkurve
Lie-Ableitung
Linearbeschleuniger
LINER
Linienelement
LIRG
LMXB
LNRF
Lokale Gruppe
Loop-Quantengravitation
Lorentz-Faktor
Lorentzgruppe
Lorentzinvarianz
Lorentz-Kontraktion
Lorentz-Transformation
Lundquist-Zahl
Luxon
M
Machscher Kegel
Machsches Prinzip
Machzahl
Magnetar
magnetische Rotationsinstabilität
Magnetohydrodynamik
Magnitude
marginal gebundene Bahn
marginal stabile Bahn
Markariangalaxie
Maxwell-Tensor
Membran-Paradigma
Mesonen
Metall
Metrik
Mikroblazar
Mikrolinse
Mikroquasar
Milchstraße
Minkowski-Metrik
Missing-Mass- Problem
mittelschwere Schwarze Löcher
MOND
Monopolproblem
Morphismus
M-Theorie
Myonen
N
Neutrino
Neutronenreaktionen
Neutronenstern
Newtonsche Gravitation
No-Hair-Theorem
Nova
Nukleon
Nukleosynthese
Nullgeodäte
O
Öffnung
Olbers-Paradoxon
O-Prozess
Oppenheimer-Volkoff- Grenze
optische Tiefe
Orthogonalität
P
Paradoxon
Paralleluniversum
Parsec
partielle Ableitung
Pauli-Prinzip
Penrose-Diagramm
Penrose-Prozess
Pentaquark
Periastron
Perigäum
Perihel
periodisch
persistent
Petrov-Klassifikation
PG1159-Sterne
Phantom-Energie
Photon
Photonenorbit
Photosphäre
Pion
Pioneer-Anomalie
Planck-Ära
Planckscher Strahler
Planck-Skala
Planet
Planetarische Nebel
Poincarégruppe
Poincaré- Transformation
Polytrop
Population
Post-Newtonsche Approximation
Poynting-Fluss
pp-Kette
p-Prozess
Prandtl-Zahl
primordiale Schwarze Löcher
Prinzip minimaler gravitativer Kopplung
Protostern
Pseudo-Newtonsche Gravitation
Pulsar
Pulsierendes Universum
Pyknonukleare Reaktionen
Q
QPO
Quant
Quantenchromodynamik
Quantenelektrodynamik
Quantenfeldtheorie
Quantengravitation
Quantenkosmologie
Quantenschaum
Quantensprung
Quantentheorie
Quantenvakuum
Quantenzahlen
Quark-Ära
Quark-Gluonen- Plasma
Quarks
Quarkstern
Quasar
quasi-periodisch
Quasi-periodische Oszillationen
Quelle
Quintessenz
R
Radioaktivität
Radiogalaxie
Radion
Randall-Sundrum- Modelle
Randverdunklung
Raumzeit
Rayleigh-Jeans- Strahlungsformel
Ray Tracing
Reichweite
Reionisation
Reissner-Nordstrøm- de-Sitter- Lösung
Reissner-Nordstrøm- Lösung
Rekombination
relativistisch
Relativitätsprinzip
Relativitätstheorie
Renormierung
Reverberation Mapping
Reynolds-Zahl
RGB-Bild
Ricci-Tensor
Riemann-Tensor
Ringsingularität
Robertson-Walker- Metrik
Robinson-Theorem
Roche-Volumen
Röntgendoppelstern
Roter Riese
Roter Zwerg
Rotverschiebung
Rotverschiebungsfaktor
r-Prozess
RRAT
RR Lyrae-Sterne
Ruhesystem
S
Schallgeschwindigkeit
scheinbare Größe
Schleifen- Quantengravitation
Schwache Wechselwirkung
Schwarzer Körper
Schwarzer Zwerg
Schwarzes Loch
Schwarzschild-de-Sitter- Lösung
Schwarzschild-Lösung
Schwarzschild-Radius
Schwerkraft
Seltsamer Stern
Seltsamkeit
Seyfert-Galaxie
Singularität
skalares Boson
SNR
Soft Gamma-Ray Repeater
Sonne
Spektraltyp
Spezialität
Spezielle Relativitätstheorie
Spin
Spin-Netzwerk
Spinschaum
Spin-Statistik-Theorem
Spintessenz
s-Prozess
Standardkerzen
Standardmodell
Standardscheibe
Starke Wechselwirkung
Statisches Universum
Staubtorus
Stefan-Boltzmann- Gesetz
stellare Schwarze Löcher
Stern
Sternentstehung
Strange Star
Stringtheorien
Subraum
Supergravitation
supermassereiche Schwarze Löcher
Supernova
Supernovaremnant
Superstringtheorie
Supersymmetrie
Symbiotische Sterne
Symmetrie
Symmetriebrechung
Symmetriegruppe
Synchrotron
Synchrotronstrahlung
Synchrozyklotron
T
Tachyon
Tagbogen
Tardyon
Teilchen
Teilchenbeschleuniger
Tensorboson
Tensoren
Tetraden
Tetraquark
TeVeS
Thermodynamik
thermonukleare Fusion
Tiefenfeldbeobachtung
Tierkreis
TNO
Topologie
topologische Defekte
Torsionstensor
Trägheit
transient
Transit
Triple-Alpha-Prozess
T Tauri Stern
Tunneleffekt
U
ULIRG
ULX
Unifikation
Unitarität
Universum
Unruh-Effekt
Urknall
V
Vakuum
Vakuumstern
Vektorboson
Velapulsar
Veränderliche
Vereinheitlichung
Viele-Welten- Theorie
VLA
VLBI
VLT
VLTI
Voids
VSOP
W
Walker-Penrose- Theorem
Weakonen
Weinberg-Winkel
Weiße Löcher
Weißer Zwerg
Wellenfunktion
Weylsches Postulat
Weyl-Tensor
Wheeler-DeWitt- Gleichung
Wiensche Strahlungsformel
Wilson-Loop
WIMP
Wolf-Rayet-Stern
w-Parameter
Wurmlöcher
X
X-Bosonen
X-Kraft
X-ray burster
Y
Y-Bosonen
Yerkes- Leuchtkraftklassen
YSO
Yukawa-Potential
Z
ZAMO
Zeit
Zeitdilatation
Zodiakallicht
Zustandsgleichung
Zustandsgröße
Zwerge
Zwergplanet
Zwillingsparadoxon
Zyklisches Universum
Zyklotron