start


Start
Web-Artikel
Lexikon
Vorträge
Ausbildung
Essays
Rhetorik
Links
Autor
Kontakt

Lexikon - M 1 Lexikon - M 3

Astro-Lexikon M 2


pdf MM
pdf A-ZA-Z

Magnetohydrodynamik

Dieser Begriff, kurz MHD genannt, subsumiert eine Theorie, die die Wechselwirkung zwischen Magnetfeldern und Plasma beschreibt. Das Plasma wird dabei als kontinuierliches Medium beschrieben, so dass eine Verbindung zwischen den Gleichungen der Hydrodynamik einerseits und den Maxwell-Gleichungen der Elektrodynamik andererseits Inhalt der MHD ist.

MHD + Einstein = kompliziert

Eine Beschreibung im Rahmen der Relativitätstheorie ist mithilfe des Maxwellschen Feldtensors und des Maxwellschen Energie-Impuls-Tensors umsetzbar. Außerdem ist eine Formulierung der kovarianten MHD-Gleichungen (General Relativistic Magnetohydrodynamics, GRMHD) in der Kerr-Metrik über den 3+1-Split (dem ADM-Formalismus) möglich.
Von Interesse sind diese Gleichungen natürlich bei der Beschreibung der Akkretion auf ein Schwarzes Loch, weil die Wechselwirkung des Plasmas mit Magnetfeldern wichtig ist. In der gekrümmten Raumzeit kommt es dabei zu speziellen Effekten, die Newtonsch nicht erklärbar sind. Dazu zählen der gravitomagnetische Dynamo, der besonders in Nähe des Schwarzen Loches starke, toroidale Magnetfelder erzeugt (siehe dazu auch Frame-Dragging und Lense-Thirring-Effekt). Diese Felder können eine wesentliche Rolle bei der Emission von Synchrotronstrahlung in dieser Raumregion spielen.

magnetische Erzeugung von relativistischen Jets

Der Blandford-Znajek Mechanismus kann bei vorhandenem Magnetfeld Rotationsenergie vom Schwarzen Loch elektromagnetisch extrahieren und könnte so die Bildung von Jet im innersten Bereich des Systems aus Schwarzem Loch und Akkretionsscheibe (siehe auch Standardscheibe) bewirken. Diese Prozesse spielen eine Rolle bei Röntgendoppelsternen und Aktiven Galaktischen Kernen (AGN).

magnetische Turbulenz & magnetische Akkretion

Die Magnetorotationsinstabilität (MRI) oder Balbus-Hawley-Instabilität treibt die magnetische Turbulenz in magnetisierten Akkretionsflüssen an. Die Turbulenz ist besonders relevant für den Transport von Drehimpuls in der Akkretionsscheibe. Außerdem restrukturiert sie den globalen Akkretionsfluss und sorgt für Materieeinflüsse und Materieausflüsse.

Magnitude

Siehe dazu unter Helligkeit.

marginal gebundene Bahn

Dies bezeichnet einen charakteristischen Orbit um ein Schwarzes Loch.

Allgemeines zur Himmelsmechanik

Zur besseren Veranschaulichung des Begriffs sei zunächst auf die Bewegungen von Himmelskörpern im Sonnensystem verwiesen: Ganz allgemein sind die Bahnen um die Sonne Kegelschnitte, also Schnittfiguren einer Ebene mit einem Kegel, d.h. Ellipse, Kreis, Parabel oder Hyperbel. Die empirisch gefundenen Kepler-Gesetze können mathematisch mit der Newtonschen Gravitationsphysik erklärt werden. Mit den Mitteln der klassischen Mechanik sind so Bahnbewegungen im Zentralpotential einer Masse berechenbar.
Welche dieser Bahnen ein Körper beschreibt, hängt von seiner Geschwindigkeit und seiner relativen Position zur Zentralmasse ab:

Kreisbahn, Ellipsenbahn

Die gebundenen Bahnen um die Sonne sind gerade die Kreise (Exzentrizität null) und Ellipsen, wie sie die Planeten oder Kometen beschreiben. Dabei sind die Exzentrizitäten der Kometen wesentlich höher, als die der Planeten, so dass sie scheinbar für lange Zeit das Sonnensystem verlassen, um dann wiederzukehren. Ein berühmtes Beispiel ist der Halleysche Komet, der eine Umlaufperiode von etwa 76 Jahren hat. Die Gesamtenergie dieser Körper ist kleiner als null.

Parabelbahn

Die parabolischen Orbits vollführen die marginal gebundenen Körper, die gerade auf der kritischen Grenze zwischen potentieller Energie durch die Anziehung der Sonnenmasse und kinetischer Energie durch eigene Bahngeschwindigkeit liegen: ihre Gesamtenergie ist gerade null.

Hyperbelbahn

Die Körper auf hyperbolischen Bahnen haben eine Gesamtenergie größer als null.

Fluchtgeschwindigkeit

Man könnte sich die Verhältnisse auch mit der Fluchtgeschwindigkeit klarmachen: vesc = (2GM/r)1/2, mit der Zentralmasse M, der Gravitationskonstante G und einem Radius r, z.B. dem Oberflächenradius des Körpers, von dem man die Fluchtgeschwindigkeit bestimmen möchte. Bei der Erde beispielsweise müssen Raketen eine Geschwindigkeit von 11.18 km/s (mehr als 40000 km/h!) aufbringen, um ihrem gravitativen Anziehungsbereich entkommen zu können (Erdmasse MErde = 5.974 × 1024 kg, Erdradius rErde = 6378 km). Die Fluchtgeschwindigkeit hängt natürlich vom Abstand ab und wird entsprechend kleiner, wenn das Testteilchen weiter von der Zentralmasse entfernt ist.
Für kleinere Geschwindigkeiten als die Fluchtgeschwindigkeit beschreiben Körper gebundene Bahnen (Ellipsen) um eine Zentralmasse, für den exakten Wert der Fluchtgeschwindigkeit sind sie auf parabolischen Bahnen und bei größeren Geschwindigkeiten als die Fluchtgeschwindigkeit sind die Bahnen hyperbolisch.

Was ist nun die marginal gebundene Bahn?

In der Physik Schwarzer Löcher handelt es sich bei der marginal gebundenen Bahn um einen der charakteristischen Radien, neben der marginal stabilen Bahn, dem Ereignishorizont und dem Photonenorbit. Die marginal gebundene Bahn, üblicherweise mit rmb (mb, engl. marginally bound) abgekürzt, kennzeichnet einen Abstand, bei dem ein Testteilchen, das im Unendlichen ruhend erscheint, gerade an der Schwelle ist, um vom Schwarzen Loch angezogen zu werden.

Beispiel: Kerr-Metrik

Man berechnet diesen Abstand in der Kerr-Geometrie (rotierende Schwarze Löcher) über eine Betrachtung eines effektiven Potentials, indem man die Bindungsenergie E gleichsetzt mit der Ruhemasse m des Testteilchens (in relativistischen Einheiten, c = 1 etc.). Das Verfahren ist also analog zu den Kepler-Bahnen im Newtonschen Fall, nur dass durch die Verwendung des relativistischen Ausdrucks für die Gesamtenergie, E = mc2, einen geschwindigkeitsunabhängigen Term, den Ruhemassenterm, übrig lässt. Daher nicht E = 0, sondern E = m. Demnach erhält man:

marginal gebundene Bahn

Der marginal gebundene Radius folgt für Schwarzschild (a = 0) gerade zu 4 Gravitationsradien und im extremen Kerr-Fall (a = M in geometrisierten Einheiten) zu einem Gravitationsradius.

Die folgende Abbildung fasst sämtliche Strukturen eines Kerr-Loches (mit 0 < a/M < 0.7) inklusive charakteristischen Radien zusammen:

Strukturen eines Kerr-Loches inklusive Ergosphäre

Empfehlung: gleich weiter lesen

Der nächste Eintrag marginal stabile Bahn bietet weitere Informationen zum Thema, insbesondere eine Darstellung der effektiven Potentiale.

marginal stabile Bahn

Dies bezeichnet einen charakteristischen Orbit um ein Schwarzes Loch.

Stabile Rotation am Abgrund

Nicht alles in der Umgebung Schwarzer Löcher muss unbedingt in sie hineinfallen. Um ein Schwarzes Loch ist ebenso eine stabile Rotation auf Kepler-Bahnen möglich, wie bei den Planeten um die Sonne.
Es gibt allerdings eine charakteristische Grenze, die markiert, wo keine stabile Rotation mehr möglich ist: diese Grenze ist die marginal stabile Bahn. Es ist ein charakteristischer Radius bei Schwarzen Löchern, den man mit rms abkürzt. Etwas aussagekräftiger ist die alternative Bezeichnung ISCO, die für innermost stable circular orbit, also der 'innersten, stabilen Kreisbahn' steht. Ein Objekt, das sich auf kleineren Abständen als der marginal stabilen Bahn bewegt, muss entweder in das Loch fallen oder auf einer ungebundenen Bahn den Bereich des Lochs verlassen.

mächtiges Werkzeug: das effektive Potential

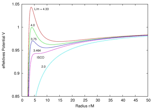
Ebenso wie bei der Diskussion von Planetenbahnen im Gravitationspotential der Sonne (gebundene Keplerbahnen) kann man Bahnen in einem effektiven Potential eines Schwarzen Loches für die Schwarzschild-Metrik oder die Kerr-Metrik diskutieren. Im folgenden Diagramm wird das in der Schwarzschild-Geometrie demonstriert:

effektives Potential in Schwarzschild, parametrisiert durch den spezif. Drehimpuls

Im Diagramm ist das Potential V über den Radius aufgetragen, wobei die Potentialkurven mit dem spezifischen Drehimpuls L/m des Probeteilchens mit Masse m parametrisiert sind. Die genaue Form des Potentials hängt also davon ab, wie schnell das Teilchen um das Loch rotiert. Der Radius wird wie in der Allgemeinen Relativitätstheorie üblich in Einheiten der Lochmasse M gemessen; dies sind gerade die geometrisierten Einheiten.

Tal: stabil - Berg: labil

Wie in der klassischen Mechanik auch, kann man mit diesen Potentialkurven das Schicksal von Teilchen diskutieren. Die Minima der Potentialkurven legen gerade die stabilen Keplerbahnen in der Äquatorebene des Loches fest. Die Potentialkurven für die spezifischen Drehimpulse L/m größer 3.464 zeigen ein ausgeprägtes Maximum. Reicht die Gesamtenergie einlaufender Teilchen aus, um diesen Potentialberg zu überwinden, so fällt das Teilchen in das Loch. Ist die Gesamtenergie kleiner als das Maximum von V, so wird das Teilchen am Potentialwall reflektiert. Es kann dann den Bereich des Loches wieder verlassen oder sich bei weiterem Energieverlust auf einer elliptischen Bahn 'einschwingen'. Im Potentialminimum nimmt das Teilchen eine stabile Kreisbahn ein (konstanter Radius).

marginale Stabilität am Wendepunkt

Bei dem bestimmten Wert L/m = 3.464 sieht man einen Wendepunkt im Potentialverlauf (violette Kurve). Von der Schulmathematik ist bekannt, dass in Wendepunkten die zweite Ableitung - hier die des Potentials nach dem Radius r - verschwindet. Diese spezielle Kurve kennzeichnet die engste Bahn um das Schwarze Loch, den Radius marginaler Stabilität oder ISCO. Hier ist gerade noch eine stabile Rotation um das Loch möglich. Wird jedoch das Teilchen gestört, so dass es sich nur ein wenig nach innen bewegt, fällt es in das Loch. Die Raumzeitstruktur des statischen Schwarzen Loches verbietet enge stabile Kreisbahnen nahe am Loch!

Lochrotation diktiert Ort der marginalen Stabilität

Für Schwarzschild (Kerrparameter a ist null) liegt die marginal stabile Bahn bei 6.0 Gravitationsradien. Im Diagramm oben ist bei diesem Abstand der Wendepunkt lokalisiert.
Für den extremen Kerr-Fall (Kerrparameter a ist eins) fällt rms mit dem äußeren Horizontradius zusammen und liegt bei nur einem Gravitationsradius. Für die Kerr-Geometrie kann ein ähnliches, effektives Potential diskutiert werden.

Die Mastergleichung in Kerr

Allgemein berechnet sich der ISCO gemäß folgender Gleichungen (Kerrparameter a, Masse des Schwarzen Loches M):

marginal stabile Bahn
Markariangalaxien

Markariangalaxien ist ein bestimmter Typus aktiver Galaxien, für die wiederum Astrophysiker den Oberbegriff Aktive Galaktische Kerne (AGN) verwenden. Markariangalaxie ist eine historisch bedingte Bezeichnung und heute nicht mehr so gebräuchlich. Heutzutage verwenden Astronomen eher den Ausdruck Seyfert-Galaxie anstelle von Markariangalaxie.

Eigenschaften und Pionier

Markariangalaxien zeigen ein abnorm starkes Kontinuum im Ultraviolett sowie breite, thermische Emissionslinien. Sie wurden Anfang der 1970er Jahre entdeckt und sind nach dem sowjetischen Astronom B.E. Markarian benannt.

Prototyp und weitere Quellen

Eine bekannte Quelle und der leuchtkräftigste Vertreter unter den Markariangalaxien ist Mrk 231. Unter den Mrk-Objekten gibt es auch einen anderen AGN-Typ, die Blazare, wie beispielsweise Mrk 421 und Mrk 501. Beide nennt man TeV-Blazare, weil sie im höchsten Energiebereich elektromagnetischer Strahlung emittieren: bei einigen Teraelektronenvolt (1012 eV).

pdf MM
pdf A-ZA-Z

nach oben

Lexikon - M 1 Lexikon - M 3


Start - Web-Artikel - Lexikon - Vorträge - Ausbildung - Essays - Rhetorik - Links - Autor - Kontakt
Andreas Müller © Andreas Müller, August 2007

Index

A
Abbremsparameter
ADAF
ADD-Szenario
ADM-Formalismus
AdS/CFT-Korrespondenz
AGB-Stern
Äquivalenzprinzip
Akkretion
Aktiver Galaktischer Kern
Alfvén-Geschwindigkeit
Alfvén-Zahl
Allgemeine Relativitätstheorie
Alpha-Zerfall
AMR
anthropisches Prinzip
Antigravitation
Antimaterie
Apastron
Apertursynthese
Aphel
Apogäum
Astronomie
Astronomische Einheit
asymptotisch flach
Auflösungsvermögen
Axion
AXP
B
Balbus-Hawley- Instabilität
Bardeen-Beobachter
Baryogenese
Baryonen
baryonische Materie
Bekenstein-Hawking- Entropie
Beobachter
Beta-Zerfall
Bezugssystem
Bianchi-Identitäten
Big Bang
Big Bounce
Big Crunch
Big Rip
Big Whimper
Birkhoff-Theorem
Blandford-Payne- Szenario
Blandford-Znajek- Mechanismus
Blauverschiebung
Blazar
BL Lac Objekt
Bogenminute
Bogensekunde
Bosonen
Bosonenstern
Boyer-Lindquist- Koordinaten
Bran
Brans-Dicke- Theorie
Brauner Zwerg
Brill-Wellen
Bulk
C
Carter-Konstante
Casimir-Effekt
Cauchy-Fläche
Cepheiden
Cerenkov-Strahlung
Chandrasekhar-Grenze
Chaplygin-Gas
Chiralität
Christoffel-Symbol
CMB
CNO-Zyklus
Comptonisierung
Cosmon
C-Prozess
D
Deep Fields
Derricks Theorem
de-Sitter- Kosmos
DGP-Szenario
Diffeomorphismus
differenzielle Rotation
Distanzmodul
Dodekaeder-Universum
Doppler-Effekt
Drei-Kelvin-Strahlung
Dunkle Energie
Dunkle Materie
E
Eddington-Finkelstein- Koordinaten
Eddington-Leuchtkraft
Effektivtemperatur
Eichtheorie
Einstein-Ring
Einstein-Rosen- Brücke
Einstein-Tensor
Eisenlinie
Eklipse
Ekliptik
Ekpyrotisches Modell
Elektromagnetismus
Elektronenvolt
elektroschwache Theorie
Elementarladung
Energie
Energiebedingungen
Energie-Impuls-Tensor
Entfernungsmodul
eos
eos-Parameter
Epizykel
Ereignishorizont
erg
Ergosphäre
eV
Extinktion
Extradimension
extragalaktisch
extrasolar
extraterrestrisch
Exzentrizität
F
Falschfarbenbild
Fanaroff-Riley- Klassifikation
Faraday-Rotation
Farbindex
Farbladung
Farbsupraleitung
Feldgleichungen
Fermi-Beschleunigung
Fermionen
Fermionenstern
Fernparallelismus
Feynman-Diagramm
FFO
FIDO
Flachheitsproblem
FLRW-Kosmologie
Fluchtgeschwindigkeit
Frame-Dragging
f(R)-Gravitation
Friedmann-Weltmodell
G
Galaktischer Schwarz-Loch-Kandidat
Galaxie
Gamma Ray Burst
Gamma-Zerfall
Geodäte
Geometrisierte Einheiten
Geometrodynamik
Gezeitenkräfte
Gezeitenradius
Gluonen
Grad
Granulation
Gravastern
Gravitation
Gravitationskollaps
Gravitationskühlung
Gravitationslinse
Gravitationsradius
Gravitations- rotverschiebung
Gravitationswellen
Gravitomagnetismus
Graviton
GRBR
Große Vereinheitlichte Theorien
Gruppe
GUT
GZK-cutoff
H
Hadronen
Hadronen-Ära
Hamilton-Jacobi- Formalismus
Harvard-Klassifikation
Hauptreihe
Hawking-Strahlung
Hawking-Temperatur
Helizität
Helligkeit
Herbig-Haro- Objekt
Hertzsprung-Russell- Diagramm
Hierarchieproblem
Higgs-Teilchen
Hilbert-Raum
Hintergrundmetrik
Hintergrundstrahlung
HLX
HMXB
Holostern
Homogenitätsproblem
Horizont
Horizontproblem
Horn-Universum
Hubble-Gesetz
Hubble-Klassifikation
Hubble-Konstante
Hydrodynamik
hydrostatisches Gleichgewicht
Hyperladung
Hypernova
Hyperonen
I
IC
Inertialsystem
Inflation
Inflaton
intergalaktisch
intermediate-mass black hole
interplanetar
interstellar
Isometrien
Isospin
Isotop
ITER
J
Jahreszeiten
Jansky
Jeans-Masse
Jet
K
Kaluza-Klein-Theorie
Kaup-Grenzmasse
Kaonen
Kataklysmische Veränderliche
Keine-Haare- Theorem
Kepler-Gesetze
Kerr-de-Sitter- Lösung
Kerr-Lösung
Kerr-Newman- de-Sitter- Lösung
Kerr-Newman- Lösung
Kerr-Schild- Koordinaten
Killing-Felder
Killing-Tensor
K-Korrektur
Koinzidenzproblem
Kollapsar
Kompaktes Objekt
Kompaktheit
Kompaktifizierung
Kompaneets-Gleichung
konforme Transformation
Kongruenz
Koordinatensingularität
Kopenhagener Deutung
Korona
Korrespondenzprinzip
Kosmische Strahlung
Kosmische Strings
Kosmographie
Kosmologie
Kosmologische Konstante
Kosmologisches Prinzip
kovariante Ableitung
Kovarianzprinzip
Kreisbeschleuniger
Kretschmann-Skalar
Krümmungstensor
Kruskal-Lösung
Kugelsternhaufen
L
Laborsystem
Ladung
Lagrange-Punkte
Lambda-Universum
Lapse-Funktion
Laserleitstern
Lense-Thirring- Effekt
Leptonen
Leptonen-Ära
Leptoquarks
Leuchtkraft
Leuchtkraftdistanz
Levi-Civita- Zusammenhang
Licht
Lichtjahr
Lichtkurve
Lie-Ableitung
Linearbeschleuniger
LINER
Linienelement
LIRG
LMXB
LNRF
Lokale Gruppe
Loop-Quantengravitation
Lorentz-Faktor
Lorentzgruppe
Lorentzinvarianz
Lorentz-Kontraktion
Lorentz-Transformation
Lundquist-Zahl
Luxon
M
Machscher Kegel
Machsches Prinzip
Machzahl
Magnetar
magnetische Rotationsinstabilität
Magnetohydrodynamik
Magnitude
marginal gebundene Bahn
marginal stabile Bahn
Markariangalaxie
Maxwell-Tensor
Membran-Paradigma
Mesonen
Metall
Metrik
Mikroblazar
Mikrolinse
Mikroquasar
Milchstraße
Minkowski-Metrik
Missing-Mass- Problem
mittelschwere Schwarze Löcher
MOND
Monopolproblem
Morphismus
M-Theorie
Myonen
N
Neutrino
Neutronenreaktionen
Neutronenstern
Newtonsche Gravitation
No-Hair-Theorem
Nova
Nukleon
Nukleosynthese
Nullgeodäte
O
Öffnung
Olbers-Paradoxon
O-Prozess
Oppenheimer-Volkoff- Grenze
optische Tiefe
Orthogonalität
P
Paradoxon
Paralleluniversum
Parsec
partielle Ableitung
Pauli-Prinzip
Penrose-Diagramm
Penrose-Prozess
Pentaquark
Periastron
Perigäum
Perihel
periodisch
persistent
Petrov-Klassifikation
PG1159-Sterne
Phantom-Energie
Photon
Photonenorbit
Photosphäre
Pion
Pioneer-Anomalie
Planck-Ära
Planckscher Strahler
Planck-Skala
Planet
Planetarische Nebel
Poincarégruppe
Poincaré- Transformation
Polytrop
Population
Post-Newtonsche Approximation
Poynting-Fluss
pp-Kette
p-Prozess
Prandtl-Zahl
primordiale Schwarze Löcher
Prinzip minimaler gravitativer Kopplung
Protostern
Pseudo-Newtonsche Gravitation
Pulsar
Pulsierendes Universum
Pyknonukleare Reaktionen
Q
QPO
Quant
Quantenchromodynamik
Quantenelektrodynamik
Quantenfeldtheorie
Quantengravitation
Quantenkosmologie
Quantenschaum
Quantensprung
Quantentheorie
Quantenvakuum
Quantenzahlen
Quark-Ära
Quark-Gluonen- Plasma
Quarks
Quarkstern
Quasar
quasi-periodisch
Quasi-periodische Oszillationen
Quelle
Quintessenz
R
Radioaktivität
Radiogalaxie
Radion
Randall-Sundrum- Modelle
Randverdunklung
Raumzeit
Rayleigh-Jeans- Strahlungsformel
Ray Tracing
Reichweite
Reionisation
Reissner-Nordstrøm- de-Sitter- Lösung
Reissner-Nordstrøm- Lösung
Rekombination
relativistisch
Relativitätsprinzip
Relativitätstheorie
Renormierung
Reverberation Mapping
Reynolds-Zahl
RGB-Bild
Ricci-Tensor
Riemann-Tensor
Ringsingularität
Robertson-Walker- Metrik
Robinson-Theorem
Roche-Volumen
Röntgendoppelstern
Roter Riese
Roter Zwerg
Rotverschiebung
Rotverschiebungsfaktor
r-Prozess
RRAT
RR Lyrae-Sterne
Ruhesystem
S
Schallgeschwindigkeit
scheinbare Größe
Schleifen- Quantengravitation
Schwache Wechselwirkung
Schwarzer Körper
Schwarzer Zwerg
Schwarzes Loch
Schwarzschild-de-Sitter- Lösung
Schwarzschild-Lösung
Schwarzschild-Radius
Schwerkraft
Seltsamer Stern
Seltsamkeit
Seyfert-Galaxie
Singularität
skalares Boson
SNR
Soft Gamma-Ray Repeater
Sonne
Spektraltyp
Spezialität
Spezielle Relativitätstheorie
Spin
Spin-Netzwerk
Spinschaum
Spin-Statistik-Theorem
Spintessenz
s-Prozess
Standardkerzen
Standardmodell
Standardscheibe
Starke Wechselwirkung
Statisches Universum
Staubtorus
Stefan-Boltzmann- Gesetz
stellare Schwarze Löcher
Stern
Sternentstehung
Strange Star
Stringtheorien
Subraum
Supergravitation
supermassereiche Schwarze Löcher
Supernova
Supernovaremnant
Superstringtheorie
Supersymmetrie
Symbiotische Sterne
Symmetrie
Symmetriebrechung
Symmetriegruppe
Synchrotron
Synchrotronstrahlung
Synchrozyklotron
T
Tachyon
Tagbogen
Tardyon
Teilchen
Teilchenbeschleuniger
Tensorboson
Tensoren
Tetraden
Tetraquark
TeVeS
Thermodynamik
thermonukleare Fusion
Tiefenfeldbeobachtung
Tierkreis
TNO
Topologie
topologische Defekte
Torsionstensor
Trägheit
transient
Transit
Triple-Alpha-Prozess
T Tauri Stern
Tunneleffekt
U
ULIRG
ULX
Unifikation
Unitarität
Universum
Unruh-Effekt
Urknall
V
Vakuum
Vakuumstern
Vektorboson
Velapulsar
Veränderliche
Vereinheitlichung
Viele-Welten- Theorie
VLA
VLBI
VLT
VLTI
Voids
VSOP
W
Walker-Penrose- Theorem
Weakonen
Weinberg-Winkel
Weiße Löcher
Weißer Zwerg
Wellenfunktion
Weylsches Postulat
Weyl-Tensor
Wheeler-DeWitt- Gleichung
Wiensche Strahlungsformel
Wilson-Loop
WIMP
Wolf-Rayet-Stern
w-Parameter
Wurmlöcher
X
X-Bosonen
X-Kraft
X-ray burster
Y
Y-Bosonen
Yerkes- Leuchtkraftklassen
YSO
Yukawa-Potential
Z
ZAMO
Zeit
Zeitdilatation
Zodiakallicht
Zustandsgleichung
Zustandsgröße
Zwerge
Zwergplanet
Zwillingsparadoxon
Zyklisches Universum
Zyklotron