start


Start
Web-Artikel
Lexikon
Vorträge
Ausbildung
Essays
Rhetorik
Links
Autor
Kontakt

Lexikon - R 4 Lexikon - R 6

Astro-Lexikon R 5


pdf RR
pdf A-ZA-Z

Ricci-Tensor

Ricci-Tensor, ein Tensor 2. Stufe Der Ricci-Tensor ist ein Tensor 2. Stufe und wird gebildet, indem man den Riemann-Tensor (4. Stufe) über den metrischen Tensor verjüngt - wie in der Gleichung rechts dargestellt wurde.
Eine weitere Verjüngung nach dieser Prozedur macht aus dem Ricci-Tensor den Ricci-Skalar oder die skalare Krümmung. Aus Ricci-Tensor und Ricci-Skalar besteht ein anderer, wichtiger Tensor der Allgemeinen Relativitätstheorie: der Einstein-Tensor. Dieser wiederum macht die rechte, die geometrische Seite der Einsteinschen Feldgleichungen aus.

Riemann-Tensor

Der Riemann-Tensor oder Riemann-Christoffel-Tensor ist einer der wichtigsten Tensoren in Albert Einsteins Allgemeiner Relativitätstheorie (ART). Die alternative Bezeichnung Krümmungstensor offenbart seine physikalische Interpretation: er ist ein Maß für die Krümmung der Raumzeit.

Krümmung der Raumzeit

Die Krümmung verändert sich im Allgemeinen in der Raumzeit von Raumzeitpunkt zu Raumzeitpunkt. Die Physiker nennen das eine gekrümmte Raumzeit. Anschaulich mag man sich diese Raumzeit vorstellen, wie ein Gebirge mit Bergen und Tälern. Die Krümmungen werden - und das ist die Kernaussage der ART - durch eine Form von Energie, z.B. Masse, hervorgerufen. Die Information über die Energieform steckt in einem zweiten wichtigen Tensor der ART, dem Energie-Impuls-Tensor. Objekte, Testmassen oder auch Licht, die sich nun durch die gekrümmte Raumzeit (kräftefrei) bewegen, bleibt nichts anderes übrig, als den Krümmungen zu folgen. Die sich ergebenden, gewundenen Wege heißen Geodäten. Der gerade beschriebene Sachverhalt wird mathematisch mit den Einsteinschen Feldgleichungen ausgedrückt. Diese Gleichungen koppeln Energie-Impuls-Tensor und Riemann-Tensor. Prosaisch formuliert besagt dieser Satz gekoppelter, nichtlinearer, partieller Differentialgleichungen:

Masse und Energie sagen der Raumzeit wie sie sich zu krümmen hat, und die Raumzeit sagt der Energieform, wie sie sich zu bewegen hat.

Der Krümmungstensor - der komplizierteste Tensor der ART

Dringt man tiefer in die Tensorrechnung der ART ein, so stellt man fest dass der Riemannsche Krümmungstensor ein Tensor 4. Stufe ist. Diese Gebilde sind recht komplex und nicht leicht in der Handhabung: Denn der Krümmungstensor der ART hat 44 = 256 Komponenten! Zum Glück weist der Riemann-Tensor einige Symmetrien auf, so dass er in den vier Dimensionen der klassischen ART (Länge, Breite, Höhe, Zeit) 20 voneinander unabhängige Komponenten hat.

Definition

Riemannscher Krümmungstensor, ein Tensor 4. Stufe Wie die Gleichung rechts zeigt, besteht der Riemann-Tensor R aus partiellen Ableitungen der Christoffel-Symbole ('Gammas, Γ, auch Levi-Civita-Zusammenhänge genannt). Diese wiederum sind partielle Ableitungen der Metrik. Im Krümmungstensor stecken demnach zweite Ableitungen der Metrik gμν, oder man könnte auch sagen zweite Ableitungen der Mannigfaltigkeit. Auf diese Weise ist der Riemann-Tensor ein Maß für Krümmungen.

Teamarbeit von Einstein & Grossmann

Albert Einstein entdeckte die physikalische Relevanz des Krümmungstensors für seine Gravitationstheorie. Er griff dabei die Arbeiten des Mathematikers Georg Friedrich Bernhard Riemann (1826 - 1866) auf, der die fundamentalen Arbeiten seines Doktorvaters Carl Friedrich Gauß (1777 - 1855) weiterentwickelte. Der Mathematiker und Kommilitone Einsteins, Marcel Grossmann, gab den entscheidenden Hinweis auf die damals neuen Aspekte der Riemannschen Differentialgeometrie. Berühmt wurde die Bemerkung in Einsteins Züricher Notizbuch 'Grossmann Tensor vierter Mannigfaltigkeit', wo Einstein 1912 den Riemannschen Krümmungstensor identifizierte.

flach: R = 0

Verschwindet der Riemann-Tensor, so heißt die Metrik flach und weist daher keine Krümmungen auf.

Symmetrien des Riemann-Tensors

Der Riemann-Tensor besitzt eine Reihe von Symmetrien unter Vertauschung seiner vier Indizes, die teilweise auf die Symmetrie des metrischen Zusammenhangs (also der Christoffel-Symbole) zurückgehen. Daneben gibt es noch eine Reihe von Differentialidentitäten, die so genannten Bianchi-Identitäten, die der Riemann-Tensor erfüllt. Die Gültigkeit und Existenz von Bianchi-Identitäten ist tief verwurzelt in der Natur der Gravitation. Eine unglaublich interessante Diskussion, die diesen Sachverhalt beleuchtet, findet sich unter dem Eintrag Bianchi-Identitäten.

Verjüngungen des Riemann-Tensors und Invarianten

Die Verjüngungen des Riemann-Tensors heißen Ricci-Tensor und Ricci-Skalar (oder skalare Krümmung). Die innere Krümmung kann man als Skalar berechnen, indem man den Riemann-Tensor mit sich selbst kontrahiert, also ein Produkt bildet von kovarianten und kontravarianten Riemann-Tensor 4. Stufe. Dieses Produkt heißt Riemannsche Invariante (engl. Riemann invariant, Riemannian invariant, auch Kretschmann scalar, dt. Kretschmann-Skalar). Sie hat die nützliche Eigenschaft, dass sie unabhängig (invariant) vom zur Berechnung gewählten Koordinatensystem ist! Es ist also egal, welche Koordinaten man zur Berechnung auswählt: die Invariante hat immer denselben Wert.

Wo sind Krümmungssingularitäten?

Die Riemannsche Invariante einer Raumzeit eignet sich zum Auffinden ihrer echten, nicht behebbaren Singularitäten. Denn dort, wo die Riemannsche Invariante nicht definiert ist, wo 'durch eine Null geteilt wird', liegt eine unendliche Krümmung vor. Die Relativisten bezeichnen das als Krümmungssingularität. Dort versagt eine physikalische Beschreibung. Es zeichnet sich aktuell ab, dass eine Quantengravitation wie die Loop-Quantengravitation (Quantengeometrie) das Auftreten dieser Unendlichkeiten zu beheben vermag. Eine Quantisierung der Raumzeit scheint Krümmungssingularitäten zu verhindern!
Doch bleiben wir bei der klassischen, unquantisierten ART: Als Beispiel zum Auffinden von Singularitäten kann man die Raumzeit einer Punktmasse betrachten. Sie wird durch die Schwarzschild-Lösung beschrieben. Nicht rotierende, elektrisch ungeladene Schwarze Löcher werden im Rahmen der ART auch durch die Schwarzschild-Lösung repräsentiert. Möchte man sich die Riemannsche Invariante der Schwarzschild-Metrik beschaffen, muss man die metrischen Koeffizienten, die Komponenten des metrischen Tensors, ableiten. Daraus folgen in einem ersten Schritt die Christoffel-Symbole. Gemäß der Gleichung oben folgen aus den berechneten Christoffel-Symbolen die Komponenten des Riemann-Tensors. Die Rechenarbeit ist im Falle der Schwarzschild-Lösung noch gut zu bewältigen, weil sie eine hohe Symmetrie (Kugelsymmetrie) aufweist. Hat man sich einen Riemann-Tensor beschafft, so folgt der entsprechend dazu duale Tensor durch 'Überschieben' des metrischen Tensors (Kontraktion). Schließlich liegt der Riemann-Tensor in kontra- und kovarianter Form vor und kann miteinander multipliziert werden, um die Riemannsche Invariante zu erhalten.

Die echte Schwarzschild-Singularität

Die Riemannsche Invariante der Schwarzschild-Geometrie hat den Wert 48M2/r6, wobei M die Masse der Punktmasse oder auch des Schwarzen Loches ist. Diese Größe divergiert im Ursprung bei r = 0, so dass hier die echte Singularität der Schwarzschild-Lösung ist. Es handelt sich um eine Punktsingularität. Im Unendlichen, bei sehr großen Werten von r, verschwindet die Riemannsche Invariante, d.h. die Krümmung geht gegen null und die Raumzeit wird asymptotisch flach.

Die echte Kerr-Singularität

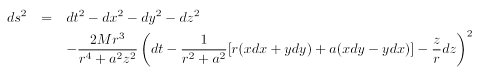
Die gleiche Rechenprozedur kann man für eine weniger symmetrische Raumzeit durchführen, z.B. für rotierende Schwarze Löcher, die durch die Kerr-Lösung dargestellt werden. Hier liegt eine Axialsymmetrie vor, die die Berechnung der Riemannschen Invarianten zu einem deutlich längeren Unterfangen macht. Die Riemannsche Invariante der Kerr-Geometrie ist entsprechend komplizierter und lautet (Glass & Krisch, Class. Quantum Grav. 21, 5543, 2004):

Riemannsche Invariante der Kerr-Lösung

Wie man sofort sieht, geht diese Invariante für a=0 in die der Schwarzschild-Lösung über. Um das Wesen der echten Singularität der Kerr-Lösung herauszufinden, ist nun zu diskutieren, wann der Nenner der Riemannschen Invarianten verschwindet. Denn der Grenzwert von etwas Konstantem durch null geht gegen unendlich und markiert die Krümmungssingularität. Umschreiben liefert eine Bedingung, die besagt, dass die Boyer-Lindquist-Funktion ρ verschwinden muss. Das ist gegeben, wenn gleichzeitig die Bedingungen r = 0 und θ = π/2 (bzw. 90°) erfüllt sind. Besser ist dieses Ergebnis mit Kerrs ursprünglichem, kartesischen Koordinatensystem zu interpretieren: Es liefert x2 + y2 = a2 und z = 0, also eine Ringsingularität, die genau in der Äquatorialebene liegt.

Gravitationstrichter: Krümmung und gravitative Zeitdilatation

Gravitationstrichter

In der Abbildung oben ist die gekrümmte Schwarzschild-Geometrie auf einem Computer visualisiert worden sind (Müller 2005). Das Bild enthält zweierlei Informationen: die Krümmung der Raumzeit (blaue 'Gummihaut') und die gravitativ bedingte Zeitdilatation (farbige Isokonturlinien). Es handelt sich also um einen so genannten Gravitationstrichter. Der tiefe blaue Schlund im Zentrum besagt gerade, dass die Krümmung im Zentrum des Loches unendlich wird. Der Schlund schließt sich unten nicht! Das markiert den Ort der zentralen Punktsingularität. Die Uhren ticken aus der Sicht eines Außenbeobachters immer langsamer und bleiben schließlich am Ereignishorizont (hier identisch mit dem Schwarzschild-Radius, der innerste blaue Ring) stehen. Die Farbskala am Bildrand zeigt den Wertebereich der Lapse-Funktion (auch Rotverschiebungsfaktor genannt), die zwischen 1 (asymptotisch flache Raumzeit) und 0 (stark gekrümmte Raumzeit am Horizont) variiert. Ein einfallendes Objekt würde also immer langsamer werden und bei Erreichen des Horizonts (von außen gesehen) stehen bleiben. Das Abstoppen ist allerdings nicht mehr sichtbar, weil jede Strahlung unendlich stark rotverschoben wird, die vom Horizont kommt. Die Ursache dafür ist die Gravitationsrotverschiebung. Es sei angemerkt, dass aus der Sicht des einfallenden Objekts, die zentrale Punktsingularität in endlicher Zeit erreicht wird. Das ist eben der gewichtige Unterschied der Bezugssysteme und das Wesen der Relativitätstheorie.
Es sei auch darauf hingewiesen, dass es sich bei dem Bild nicht um eine Visualisierung handelt, die einem realen Foto eines Schwarzen Loches gleichkommt - es ist nur eine Darstellung mathematischer Größen in Falschfarben. Einem echten Foto kommt die relativistische Ray-Tracing-Simulation einer leuchtenden Gasscheibe um ein Loch im Eintrag Schwarzes Loch nahe, das ebenfalls als Falschfarbenbild dargestellt wird.

Ringsingularität

Die Ringsingularität ist ein exklusives Merkmal rotierender Schwarzer Löcher, also Schwarzer Löcher der Kerr-Familie. Das, was bei der Schwarzschild-Lösung eine Punktsingularität ist, die nicht durch eine Wahl anderer Koordinaten zu beheben ist, wird bei rotierenden Löchern zu einer Ringsingularität 'aufgeblasen'. In diesen echten Singularitäten wird die Krümmung unendlich.

Singularitäten erzeugen die Gravitation

Mathematisch leitet man die Ringsingularität am besten mit pseudo-kartesischen Koordinaten ab. In dieser Form leitete Roy P. Kerr historisch die Lösung rotierender Massen 1963 ab. Die echten oder intrinsischen Singularitäten sind die Quellen des Gravitationsfeldes Schwarzer Löcher. Man darf nicht vergessen, dass es sonst nur ein Vakuum gibt, weil Schwarzschild- und Kerr-Lösung Vakuumlösungen der Einsteinschen Feldgleichungen sind.

Wie findet man die Singularitäten?

Im Allgemeinen findet man Krümmungssingularitäten, indem man die Riemannschen Invarianten ausrechnet. Dabei handelt es sich um ein Produkt aus kontravariantem und kovariantem Riemann-Tensor. Unter diesem Lexikoneintrag findet man eine genaue Beschreibung der mathematischen Prozedur. Die durch Koordinaten festgelegten Orte, wo die Invarianten divergieren ('Division durch null'), sind gerade die Krümmungssingularitäten. So ist dieses Produkt für die Schwarzschild-Lösung proportional zu r-6, so dass als intrinsische Singularität die Punktsingularität in r = 0 resultiert.
In der Kerr-Geometrie läuft diese Behandlung darauf hinaus, die Nullstellen einer bestimmten Boyer-Lindquist-Funktion (ρ) zu diskutieren. Sie wird genau dann null, wenn gleichzeitig die Bedingungen r = 0 und θ = π/2 (bzw. 90°) erfüllt sind. Die Interpretation dieses erstaunlichen Ergebnisses wird erst klar, wenn man Kerrs Originalkoordinaten (t, x, y, z) wieder einführt. Dann resultieren die beiden Bedingungen x2 + y2 = a2 und z = 0 für die intrinsische Singularität der Kerr-Lösung. Das beschreibt gerade einen unendlich dünnen Ring mit Radius a (Vorsicht! Siehe unten.), der in der Äquatorebene liegt! Man kann sich dieses Gebilde als Massenstrom vorstellen, der in seiner Umgebung ein rotierendes Gravitationsfeld erzeugt: die Kerr-Metrik. Der Ringradius a entspricht gerade dem Kerr-Parameter. Dieser parametrisiert den spezifischen Drehimpuls eines rotierenden Loches, a = J/M (J: Drehimpuls des Loches, M: Lochmasse).

Ein Ring ohne Ausdehnung!

Bei der Interpretation des Ringradius muss man aufpassen: bei einer Visualisierung der Krümmungsinvarianten wird klar, dass der Ring keine Ausdehnung hat. Die Ringsingularität befindet sich immer innerhalb des inneren Horizonts, des so genannten Cauchy-Horizonts. Die Ringsingularität sitzt wie bei Schwarzschild bei r = 0, hat aber dennoch einen anderen Charakter. Diese Eigenschaft ist am schwierigsten zu verstehen und erfordert eine genaue Analyse der Singularitätenstrukturen in den richtigen Koordinaten (B. Carter, 1968; aufgegriffen im Buch von Hawking & Ellis: The Large Scale Structure of Space-Time, 1973). Obwohl die Riemannschen Invarianten unabhängig vom Koordinatensystem sind, kann ein falsches Koordinatensystem eine adäquate Interpretation gehörig erschweren. So erlauben pseudo-sphärische Koordinaten keine angemessene Interpretation des Satzes an Bedingungen r = 0 und θ = π/2. Offensichtlich lässt sich nur erahnen, dass die intrinsische Kerr-Singularität vollkommen wesensverschieden von der intrinsischen Schwarzschild-Singularität ist.

Bedeutung für die Astrophysik

Vom Standpunkt des Astronomen ist nur wesentlich, dass die Singularität hinter dem Ereignishorizont verborgen ist. Dieses Prinzip heißt kosmische Zensur (engl. cosmic censorship) und wurde von dem englischen Mathematiker Roger Penrose entdeckt. Es besagt, dass 'nackte', also sichtbare Singularitäten verboten sind. Eine intrinsische Singularität ist deshalb auch auf astronomischem Wege nicht sichtbar. Bislang gab es auch keinerlei astronomische Beobachtung, die der kosmischen Zensur zu widersprechen schien.
Bei der Schwarzschild-Lösung gilt a = 0. Das Loch rotiert nicht und ist kugelsymmetrisch und statisch. Also schrumpft hier die Ringsingularität gewissermaßen auf die zentrale Punktsingularität zusammen und die entartete Bedingung wird zu einer einzigen, nämlich r = 0.

Robertson-Walker-Metrik
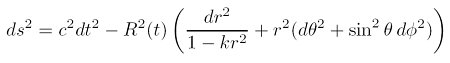
Robertson-Walker-Linienelement

Die Robertson-Walker-Metrik (eigentlich FLRW-Metrik) beschreibt in der relativistischen Kosmologie das Universum als Ganzes. Gemäß des kosmologischen Prinzips muss das Universum eine Raumzeit mit konstanter Krümmung sein. Genau dieser Forderung wird die Robertson-Walker-Metrik gerecht. Die Robertson-Walker-Geometrie bildet den raumzeitlichen Hintergrund der Friedmann-Weltmodelle, die Gegenstand der Kosmodynamik sind. Die Metrik vermag sowohl statische als auch dynamische Universen zu beschreiben.

Evidenz von der Beobachtung

Wie sich in den 1920er Jahren durch die Beobachtungen von entfernten Galaxie durch die amerikanischen Astronomen Slipher und Hubble erwies (und später bestätigte), leben wir in einem dynamischen Kosmos: er dehnt sich aus.

Eigenschaften der FLRW-Universen

Das Linienelement besitzt eine hohe Symmetrie, denn Friedmann-Lemaître-Robertson-Walker-Räume (benannt nach den vier Pionieren dieser Kosmologie) sind kugelsymmetrisch. Die Gleichung des Linienelements in der Signatur (+ - - -) der Metrik befindet sich am Beginn dieses Eintrags.

Drei Universen unterschiedlicher Krümmung

Eine wesentliche Größe im Robertson-Walker-Linienelement ist die Krümmung, auch Krümmungsparameter genannt, und mit k bezeichnet. Der Krümmungsparameter kann nur die Werte -1, 0 oder +1 annehmen.

  • k = -1 beschreibt ein hyperbolisches Universum,
  • k = 0 entspricht dem flachen Euklidischen Universum,
  • k = +1 entspricht einem elliptischen Universum oder sphärischen Universum.

Mit dem Vorzeichen von k liegt also die Geometrie des Universums fest, nicht jedoch die Topologie des Universums! Die Topologie kann im Allgemeinen offen oder geschlossen sein, nur für positive Krümmung, k = +1, sind sie alle Universen geschlossen.

Welches ist unser Universum?

Welche Krümmung das existierende Universum hat, ist immer eine Frage der Beobachtung des Materieinhalts bzw. Energieinhalts. Momentan spricht die Beobachtung der kosmischen Hintergrundstrahlung (Ballonexperimente: u.a. BOOMERANG, Tegmark et al., MAXIMA; Satelliten: COBE seit 1992, WMAP seit 2003, ab 2008 PLANCK) für eine ΛCDM Kosmologie mit einem flachen, offenen Universum (k = 0), also gerade dem kritischen Grenzfall entsprechend. Die Daten vieler unterschiedlicher Experimente wurden in eine Temperaturkarte des kosmischen Mikrowellenhintergrunds gepackt. Noch genauer ist es, die Temperaturverteilung am Himmel in geeignete Basisfunktionen zu entwickeln (Kugelflächenfunktionen, engl. spherical harmonics). Aus der Gewichtung der einzelnen Funktionen kann sehr genau die thermische Vergangenheit des Universums rekonstruiert werden. Diese präzisen Daten werden mit einem kosmologischen Modell abgeglichen werden. Hier wird die Friedmann-Lemaître-Robertson-Walker-Metrik wichtig, geht sie doch in die Friedmann-Gleichung ein, die die Dynamik des Kosmos beschreibt.

Der Konsens ist flach

Das flache ΛCDM Universum nennt man auch das Konsens-Modell (engl. concordance model). Es ist die (topologisch) einfachste Lösung ist, die zu den Daten passt.
Die bisher hochwertigsten Daten von WMAP schließen jedoch auch ein sphärisches Universum mit k = +1 nicht ganz aus. Deshalb wurde als Alternativen zum flachen Konsens-Modell das Dodekaeder-Universum (Luminet et al. 2003, Nature Artikel) und das Horn-Universum (Aurich et al. 2004) vorgeschlagen.

späte Dominanz von Λ

Die tragende Rolle in der späten Evolutionsgeschichte des Universums spielt offensichtlich die kosmologischen Konstante Λ, allgemeiner Dunkle Energie genannt. Sie macht etwa 74% aller Energieformen im Universum aus und treibt durch ihre antigravitative Wirkung das Universum auseinander.

Schicksal des Universums

Falls aber mehr Masse im Universum vorhanden ist, könnte die kosmische Expansion gestoppt werden und in ferner Zukunft einen Big Crunch auslösen. Dieses Szenario könnte wiederum in einem erneuten Urknall enden (pulsierendes Universum). Aus philosophisch-ästhetischer Sicht klingt das sehr attraktiv, denn die Natur würde selbst bei der Entstehung und Vernichtung des Universums einen Zyklus offenbaren. Zyklen in der Natur sind in vielen anderen Bereichen (Jahreszeiten, Sonnenflecken etc.) bekannt - warum nicht auch beim Kosmos? Ein Beleg oder die Widerlegung dieser spekulativen Idee wird erforscht. Aber die aktuellen Beobachtungsdaten schließen Big Crunch und einen kosmischen Zyklus aus. Das Universum wird sich sehr wahrscheinlich ewig ausdehnen, dabei immer mehr auskühlen und ein dunkler, kalter Ort werden, der von Schwarzen Zwergen und Schwarzen Löchern dominiert wird.

Robinson-Theorem

Das Robinson-Theorem ist ein mathematischer Satz, der für Raumzeiten mit bestimmter Symmetrie gilt. Die Raumzeiten sind in der Allgemeinen Relativitätstheorie (ART) von Albert Einstein eine Weiterentwicklung der Gravitationsfeldersfelder in der klassischen Gravitationsphysik Isaac Newtons. Gravitation wird in Einsteins Theorie völlig neu verstanden, nicht als Kraft, sondern als geometrische Eigenschaft der Raumzeit.

Raumzeit muss Achsensymmetrie haben

Das Robinson-Theorem ist ein Eindeutigkeitssatz (engl. uniqueness theorem) und gilt für stationäre und axialsymmetrische Raumzeiten. Die Raumzeiten haben also salopp gesagt die Symmetrie eines Zylinders, eine Achsensymmetrie. Das ist jedoch nicht alles, was für die Gültigkeit des Theorems vorausgesetzt werden muss.

weitere Voraussetzungen des Theorems

  • Diese Raumzeit muss darüber hinaus asymptotisch flach sein, d.h. die Krümmung soll bei großen Abständen ('im Unendlichen) verschwinden. Die stationäre und axialsymmetrische Raumzeit geht hier in die Minkowski-Metrik über.
  • Außerdem soll die Raumzeit einen glatten, konvexen Ereignishorizont enthalten.
  • Außerhalb des Ereignishorizonts soll die stationäre und axialsymmetrische Raumzeit regulär (= nicht singulär) sein, d.h. dort dürfen keine Krümmungssingularitäten vorkommen.

Was besagt das Theorem?

Unter diesen vier Voraussetzungen (Achsensymmetrie, asymptotische Flachheit, konvexer Horizont, Regularität) besagt nun das Robinson-Theorem, dass die Raumzeit eindeutig durch nur zwei Parameter bestimmt ist: durch Masse und Drehimpuls. Mit anderen Worten: die betrachtete Raumzeit ist identisch mit der Kerr-Lösung. Rotierende, elektrisch neutrale Schwarze Löcher werden gerade durch die Kerr-Lösung mathematisch beschreiben und sind von großer Bedeutung für die Astronomie.
Ein weiteres, wesentliches Theorem der ART ist das Birkhoff-Theorem.

Originalveröffentlichung

  • Robinson, D.C. 1975, Phys. Rev. Lett. 34, 901

pdf RR
pdf A-ZA-Z

nach oben

Lexikon - R 4 Lexikon - R 6


Start - Web-Artikel - Lexikon - Vorträge - Ausbildung - Essays - Rhetorik - Links - Autor - Kontakt
Andreas Müller © Andreas Müller, August 2007

Index

A
Abbremsparameter
ADAF
ADD-Szenario
ADM-Formalismus
AdS/CFT-Korrespondenz
AGB-Stern
Äquivalenzprinzip
Akkretion
Aktiver Galaktischer Kern
Alfvén-Geschwindigkeit
Alfvén-Zahl
Allgemeine Relativitätstheorie
Alpha-Zerfall
AMR
anthropisches Prinzip
Antigravitation
Antimaterie
Apastron
Apertursynthese
Aphel
Apogäum
Astronomie
Astronomische Einheit
asymptotisch flach
Auflösungsvermögen
Axion
AXP
B
Balbus-Hawley- Instabilität
Bardeen-Beobachter
Baryogenese
Baryonen
baryonische Materie
Bekenstein-Hawking- Entropie
Beobachter
Beta-Zerfall
Bezugssystem
Bianchi-Identitäten
Big Bang
Big Bounce
Big Crunch
Big Rip
Big Whimper
Birkhoff-Theorem
Blandford-Payne- Szenario
Blandford-Znajek- Mechanismus
Blauverschiebung
Blazar
BL Lac Objekt
Bogenminute
Bogensekunde
Bosonen
Bosonenstern
Boyer-Lindquist- Koordinaten
Bran
Brans-Dicke- Theorie
Brauner Zwerg
Brill-Wellen
Bulk
C
Carter-Konstante
Casimir-Effekt
Cauchy-Fläche
Cepheiden
Cerenkov-Strahlung
Chandrasekhar-Grenze
Chaplygin-Gas
Chiralität
Christoffel-Symbol
CMB
CNO-Zyklus
Comptonisierung
Cosmon
C-Prozess
D
Deep Fields
Derricks Theorem
de-Sitter- Kosmos
DGP-Szenario
Diffeomorphismus
differenzielle Rotation
Distanzmodul
Dodekaeder-Universum
Doppler-Effekt
Drei-Kelvin-Strahlung
Dunkle Energie
Dunkle Materie
E
Eddington-Finkelstein- Koordinaten
Eddington-Leuchtkraft
Effektivtemperatur
Eichtheorie
Einstein-Ring
Einstein-Rosen- Brücke
Einstein-Tensor
Eisenlinie
Eklipse
Ekliptik
Ekpyrotisches Modell
Elektromagnetismus
Elektronenvolt
elektroschwache Theorie
Elementarladung
Energie
Energiebedingungen
Energie-Impuls-Tensor
Entfernungsmodul
eos
eos-Parameter
Epizykel
Ereignishorizont
erg
Ergosphäre
eV
Extinktion
Extradimension
extragalaktisch
extrasolar
extraterrestrisch
Exzentrizität
F
Falschfarbenbild
Fanaroff-Riley- Klassifikation
Faraday-Rotation
Farbindex
Farbladung
Farbsupraleitung
Feldgleichungen
Fermi-Beschleunigung
Fermionen
Fermionenstern
Fernparallelismus
Feynman-Diagramm
FFO
FIDO
Flachheitsproblem
FLRW-Kosmologie
Fluchtgeschwindigkeit
Frame-Dragging
f(R)-Gravitation
Friedmann-Weltmodell
G
Galaktischer Schwarz-Loch-Kandidat
Galaxie
Gamma Ray Burst
Gamma-Zerfall
Geodäte
Geometrisierte Einheiten
Geometrodynamik
Gezeitenkräfte
Gezeitenradius
Gluonen
Grad
Granulation
Gravastern
Gravitation
Gravitationskollaps
Gravitationskühlung
Gravitationslinse
Gravitationsradius
Gravitations- rotverschiebung
Gravitationswellen
Gravitomagnetismus
Graviton
GRBR
Große Vereinheitlichte Theorien
Gruppe
GUT
GZK-cutoff
H
Hadronen
Hadronen-Ära
Hamilton-Jacobi- Formalismus
Harvard-Klassifikation
Hauptreihe
Hawking-Strahlung
Hawking-Temperatur
Helizität
Helligkeit
Herbig-Haro- Objekt
Hertzsprung-Russell- Diagramm
Hierarchieproblem
Higgs-Teilchen
Hilbert-Raum
Hintergrundmetrik
Hintergrundstrahlung
HLX
HMXB
Holostern
Homogenitätsproblem
Horizont
Horizontproblem
Horn-Universum
Hubble-Gesetz
Hubble-Klassifikation
Hubble-Konstante
Hydrodynamik
hydrostatisches Gleichgewicht
Hyperladung
Hypernova
Hyperonen
I
IC
Inertialsystem
Inflation
Inflaton
intergalaktisch
intermediate-mass black hole
interplanetar
interstellar
Isometrien
Isospin
Isotop
ITER
J
Jahreszeiten
Jansky
Jeans-Masse
Jet
K
Kaluza-Klein-Theorie
Kaup-Grenzmasse
Kaonen
Kataklysmische Veränderliche
Keine-Haare- Theorem
Kepler-Gesetze
Kerr-de-Sitter- Lösung
Kerr-Lösung
Kerr-Newman- de-Sitter- Lösung
Kerr-Newman- Lösung
Kerr-Schild- Koordinaten
Killing-Felder
Killing-Tensor
K-Korrektur
Koinzidenzproblem
Kollapsar
Kompaktes Objekt
Kompaktheit
Kompaktifizierung
Kompaneets-Gleichung
konforme Transformation
Kongruenz
Koordinatensingularität
Kopenhagener Deutung
Korona
Korrespondenzprinzip
Kosmische Strahlung
Kosmische Strings
Kosmographie
Kosmologie
Kosmologische Konstante
Kosmologisches Prinzip
kovariante Ableitung
Kovarianzprinzip
Kreisbeschleuniger
Kretschmann-Skalar
Krümmungstensor
Kruskal-Lösung
Kugelsternhaufen
L
Laborsystem
Ladung
Lagrange-Punkte
Lambda-Universum
Lapse-Funktion
Laserleitstern
Lense-Thirring- Effekt
Leptonen
Leptonen-Ära
Leptoquarks
Leuchtkraft
Leuchtkraftdistanz
Levi-Civita- Zusammenhang
Licht
Lichtjahr
Lichtkurve
Lie-Ableitung
Linearbeschleuniger
LINER
Linienelement
LIRG
LMXB
LNRF
Lokale Gruppe
Loop-Quantengravitation
Lorentz-Faktor
Lorentzgruppe
Lorentzinvarianz
Lorentz-Kontraktion
Lorentz-Transformation
Lundquist-Zahl
Luxon
M
Machscher Kegel
Machsches Prinzip
Machzahl
Magnetar
magnetische Rotationsinstabilität
Magnetohydrodynamik
Magnitude
marginal gebundene Bahn
marginal stabile Bahn
Markariangalaxie
Maxwell-Tensor
Membran-Paradigma
Mesonen
Metall
Metrik
Mikroblazar
Mikrolinse
Mikroquasar
Milchstraße
Minkowski-Metrik
Missing-Mass- Problem
mittelschwere Schwarze Löcher
MOND
Monopolproblem
Morphismus
M-Theorie
Myonen
N
Neutrino
Neutronenreaktionen
Neutronenstern
Newtonsche Gravitation
No-Hair-Theorem
Nova
Nukleon
Nukleosynthese
Nullgeodäte
O
Öffnung
Olbers-Paradoxon
O-Prozess
Oppenheimer-Volkoff- Grenze
optische Tiefe
Orthogonalität
P
Paradoxon
Paralleluniversum
Parsec
partielle Ableitung
Pauli-Prinzip
Penrose-Diagramm
Penrose-Prozess
Pentaquark
Periastron
Perigäum
Perihel
periodisch
persistent
Petrov-Klassifikation
PG1159-Sterne
Phantom-Energie
Photon
Photonenorbit
Photosphäre
Pion
Pioneer-Anomalie
Planck-Ära
Planckscher Strahler
Planck-Skala
Planet
Planetarische Nebel
Poincarégruppe
Poincaré- Transformation
Polytrop
Population
Post-Newtonsche Approximation
Poynting-Fluss
pp-Kette
p-Prozess
Prandtl-Zahl
primordiale Schwarze Löcher
Prinzip minimaler gravitativer Kopplung
Protostern
Pseudo-Newtonsche Gravitation
Pulsar
Pulsierendes Universum
Pyknonukleare Reaktionen
Q
QPO
Quant
Quantenchromodynamik
Quantenelektrodynamik
Quantenfeldtheorie
Quantengravitation
Quantenkosmologie
Quantenschaum
Quantensprung
Quantentheorie
Quantenvakuum
Quantenzahlen
Quark-Ära
Quark-Gluonen- Plasma
Quarks
Quarkstern
Quasar
quasi-periodisch
Quasi-periodische Oszillationen
Quelle
Quintessenz
R
Radioaktivität
Radiogalaxie
Radion
Randall-Sundrum- Modelle
Randverdunklung
Raumzeit
Rayleigh-Jeans- Strahlungsformel
Ray Tracing
Reichweite
Reionisation
Reissner-Nordstrøm- de-Sitter- Lösung
Reissner-Nordstrøm- Lösung
Rekombination
relativistisch
Relativitätsprinzip
Relativitätstheorie
Renormierung
Reverberation Mapping
Reynolds-Zahl
RGB-Bild
Ricci-Tensor
Riemann-Tensor
Ringsingularität
Robertson-Walker- Metrik
Robinson-Theorem
Roche-Volumen
Röntgendoppelstern
Roter Riese
Roter Zwerg
Rotverschiebung
Rotverschiebungsfaktor
r-Prozess
RRAT
RR Lyrae-Sterne
Ruhesystem
S
Schallgeschwindigkeit
scheinbare Größe
Schleifen- Quantengravitation
Schwache Wechselwirkung
Schwarzer Körper
Schwarzer Zwerg
Schwarzes Loch
Schwarzschild-de-Sitter- Lösung
Schwarzschild-Lösung
Schwarzschild-Radius
Schwerkraft
Seltsamer Stern
Seltsamkeit
Seyfert-Galaxie
Singularität
skalares Boson
SNR
Soft Gamma-Ray Repeater
Sonne
Spektraltyp
Spezialität
Spezielle Relativitätstheorie
Spin
Spin-Netzwerk
Spinschaum
Spin-Statistik-Theorem
Spintessenz
s-Prozess
Standardkerzen
Standardmodell
Standardscheibe
Starke Wechselwirkung
Statisches Universum
Staubtorus
Stefan-Boltzmann- Gesetz
stellare Schwarze Löcher
Stern
Sternentstehung
Strange Star
Stringtheorien
Subraum
Supergravitation
supermassereiche Schwarze Löcher
Supernova
Supernovaremnant
Superstringtheorie
Supersymmetrie
Symbiotische Sterne
Symmetrie
Symmetriebrechung
Symmetriegruppe
Synchrotron
Synchrotronstrahlung
Synchrozyklotron
T
Tachyon
Tagbogen
Tardyon
Teilchen
Teilchenbeschleuniger
Tensorboson
Tensoren
Tetraden
Tetraquark
TeVeS
Thermodynamik
thermonukleare Fusion
Tiefenfeldbeobachtung
Tierkreis
TNO
Topologie
topologische Defekte
Torsionstensor
Trägheit
transient
Transit
Triple-Alpha-Prozess
T Tauri Stern
Tunneleffekt
U
ULIRG
ULX
Unifikation
Unitarität
Universum
Unruh-Effekt
Urknall
V
Vakuum
Vakuumstern
Vektorboson
Velapulsar
Veränderliche
Vereinheitlichung
Viele-Welten- Theorie
VLA
VLBI
VLT
VLTI
Voids
VSOP
W
Walker-Penrose- Theorem
Weakonen
Weinberg-Winkel
Weiße Löcher
Weißer Zwerg
Wellenfunktion
Weylsches Postulat
Weyl-Tensor
Wheeler-DeWitt- Gleichung
Wiensche Strahlungsformel
Wilson-Loop
WIMP
Wolf-Rayet-Stern
w-Parameter
Wurmlöcher
X
X-Bosonen
X-Kraft
X-ray burster
Y
Y-Bosonen
Yerkes- Leuchtkraftklassen
YSO
Yukawa-Potential
Z
ZAMO
Zeit
Zeitdilatation
Zodiakallicht
Zustandsgleichung
Zustandsgröße
Zwerge
Zwergplanet
Zwillingsparadoxon
Zyklisches Universum
Zyklotron