Freistetters Formelwelt: Trügerische Sicherheit auf fremden Planeten

Als Ende Februar die Entdeckung von sieben erdähnlichen Planeten beim Stern TRAPPIST-1 bekannt gegeben wurde, waren die Reaktionen zu erwarten: Leser und Leserinnen meines Blogs, Freunde, Bekannte und die Medien stellten mir die Frage, die mir bei solchen Entdeckungen immer gestellt wird: Gibt es außerirdisches Leben auf diesen Planeten? Meine Antwort darauf war ebenfalls dieselbe, die ich immer gebe: vielleicht, vielleicht auch nicht. Darüber können wir derzeit nichts aussagen. Uns fehlen einfach noch die technischen Möglichkeiten, um an ausreichend Informationen über die Bedingungen auf extrasolaren Planeten zu gelangen.
Wir können herausfinden, wie weit ein Planet von seinem Stern entfernt ist, wie groß er ist und wie schwer er ist (und oft nicht einmal das wirklich genau). Das reicht aber nicht, um beispielsweise die Zusammensetzung der Atmosphäre oder die genaue Temperatur auf der Planetenoberfläche zu bestimmen. Ob der Planet eines anderen Sterns der Erde wirklich ähnlich ist oder nicht, können wir nicht wissen.
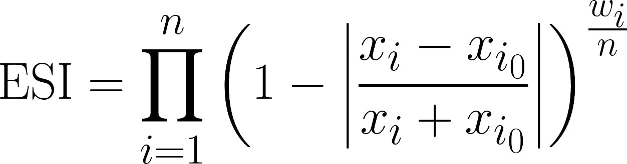
Oft wird in diesem Zusammenhang dann der so genannte Earth Similarity Index (ESI) als Beleg dafür angeführt, dass ein bestimmter Planet ja vielleicht doch so lebensfreundlich ist wie unsere eigene Welt. Diese Zahl wird mit folgender Formel berechnet:
Ein sehr komplexer Ausdruck, der aber trotz allem über eine fundamentale Eigenschaft mathematischer Formeln nicht hinwegtäuschen kann: Das Ergebnis einer Berechnung ist immer nur so gut wie die Daten, die zur Berechnung verwendet werden. Die Formel, mit der man den ESI definiert, ist dabei durchaus sehr intelligent gewählt. Jedes xi in der Formel steht für einen Parameter, mit dem man einen Planeten beschreiben kann und der dann mit dem entsprechenden Wert für die Erde (xi_0) verglichen wird. Die Ergebnisse dieser Vergleiche werden gewichtet und miteinander multipliziert (das ist die Bedeutung des großen "Π"-Symbols). Und am Ende erhält man eine Zahl zwischen 0 und 1. Je näher der ESI an 1 liegt, desto ähnlicher ist der untersuchte Planet unserer Erde.
Wie gesagt: Die Formel ist durchdacht und korrekt. Aber das ändert nichts daran, dass sie nur dann das leisten kann, was sie verspricht, wenn man auch ausreichend Parameter hat, die man einsetzen kann. Das Planetary Habitability Laboratory der University of Puerto Rico in Arecibo hat für den Planeten TRAPPIST-1d zum Beispiel einen ESI von 0,9 berechnet. Damit wäre er deutlich lebensfreundlicher als der Mars in unserem Sonnensystem – ja, lebensfreundlicher als alle anderen bekannten extrasolaren Planeten – und würde fast so gute Bedingungen bieten wie unsere eigene Erde.
Aber auch hier sind nur der Radius, die Masse und der Abstand des Planeten von seinem Stern in die Formel eingeflossen (zusätzlich mit ein paar sehr optimistischen Spekulationen über seine Atmosphäre). Die Realität könnte auch ganz anders aussehen. TRAPPIST-1d und seine Nachbarplaneten könnten genauso gut lebensfeindliche Welten wie zum Beispiel die Venus oder der Merkur sein. Wir wissen es schlicht und einfach nicht.
Nutzlos sind Formeln wie die zur Berechnung des ESI allerdings trotzdem nicht. Wenn wir uns ernsthaft auf die Suche nach lebensfreundlichen Planeten im All machen, brauchen wir die dafür nötigen mathematischen Instrumente, um all die gesammelten Daten zu organisieren und zu vergleichen. Die Komplexität solcher Formeln birgt aber auch eine Gefahr. Sie können uns und der Öffentlichkeit vortäuschen, dass wir mehr wissen, als wir tatsächlich tun. Das Ergebnis einer Berechnung – in diesem Fall eine Ähnlichkeit zwischen der Erde und TRAPPIST-1d von 90 Prozent – lässt uns vergessen, dass die Ausgangsdaten längst nicht so beeindruckend sind wie das Resultat.
Ich halte es für fahrlässig, Konzepte wie den Earth Similarity Index im Rahmen der Öffentlichkeitsarbeit zu verwenden. So wird ein völlig falsches Bild dessen erzeugt, was die Astronomie derzeit leisten kann. Wenn es da draußen irgendwo eine echte "zweite Erde" gibt, werden wir sie in naher Zukunft finden. Bis dahin sollten wir die Spekulationen auch deutlich als solche bezeichnen und nicht hinter komplexen mathematischen Formeln verstecken.
Schreiben Sie uns!
2 Beiträge anzeigen