Lexikon der Arzneipflanzen und Drogen: Aclarubicin
vorheriger Artikel
nächster Artikel
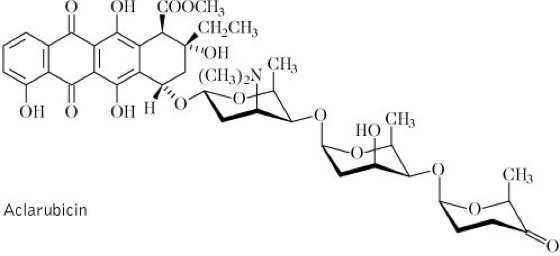
Aclarubicin (Aclacinomycin), Anthracyclinantibiotikum, produziert von Streptomyces galilaeus. A. ist ein Glykosid des Aclavoninons, das als Zytostatikum bei akuter myeloischer Leukämie eingesetzt wird.
Wenn Sie inhaltliche Anmerkungen zu diesem Artikel haben, können Sie die Redaktion per E-Mail informieren. Wir lesen Ihre Zuschrift, bitten jedoch um Verständnis, dass wir nicht jede beantworten können.
Wenn Sie inhaltliche Anmerkungen zu diesem Artikel haben, können Sie die Redaktion per E-Mail informieren. Wir lesen Ihre Zuschrift, bitten jedoch um Verständnis, dass wir nicht jede beantworten können.