Lexikon der Arzneipflanzen und Drogen: Ajuga reptans
Ajuga reptans L.
(syn. Ajuga repens, Bugula desiflora, Teucrium reptans); Kriechender Günsel (syn. Gurgelkraut).
Fam.: Lamiaceae (Labiatae).
Vork.: Europa bis Vorderasien.
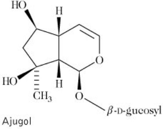
Droge:Ajuga-reptans-Kraut (syn. Herba Ajugae, Herba Bungulae, Herba Consolidae mediae). Inh.: Iridoidglykoside (Iridoide) vom Typ des Harpagids und Ajugol vgl. Formel, Phytoecdysone (Ajugalacton, Cyasteron), Rosmarinsäure. Anw.: Die Droge wird volkstümlich innerlich als Adstringens bei Mund- und Kehlkopfentzündungen sowie bei Gallenbeschwerden angewendet, äußerlich dient sie zur Wundbehandlung.
Hom.:Ajuga reptans HAB34, die zur Zeit der beginnenden Blüte gesammelte, ganze Pflanze. Anw.-Geb.: bei Stoffwechselerkrankungen.
Histor.: A. reptans wird seit alter Zeit als Heilpflanze zur Wundbehandlung genutzt, das Kraut sollte nach alten Quellen vor Sonnenaufgang bei Neumond Ende Mai bis Juni gepflückt werden.

Wenn Sie inhaltliche Anmerkungen zu diesem Artikel haben, können Sie die Redaktion per E-Mail informieren. Wir lesen Ihre Zuschrift, bitten jedoch um Verständnis, dass wir nicht jede beantworten können.