Lexikon der Arzneipflanzen und Drogen: Amanita phalloides
Amanita phalloides (Vaill.) Secr.
Grüner Knollenblätterpilz (syn. Grüner Giftwulstling); vgl. Abbildung.
Fam.: Amanitaceae.
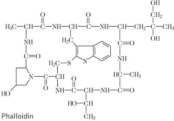
Inh.: Amatoxine (α-, β- und γ-Amanitin; bicyclische Octapeptide), Phallotoxine, u.a. Phalloidin vgl. Formel, Phallacidin und Phallisacin; bicyclische Heptapeptide mit Indol-Thioether-Brücke sowie Phallolysine (thermolabile Proteine), Antamanid (ein antitoxisches Cyclodecapeptid) und Cycloamanide (kleine cyclische Peptide). Bedeut.: Die Toxizität der Amatoxine beruht auf der Hemmung der RNA-Polymerase eukaryotischer Zellen, bereits 5-7 mg Amatoxine wirken tödlich. Phallotoxine werden aus dem Gastrointestinaltrakt nicht resorbiert. A. phalloides ist der gefährlichste Giftpilz, Mortalität >30 % bei einer Aufnahme von etwa 50 g Frischgewicht. Erste Vergiftungserscheinungen treten nach 6-24 Stunden auf, verbunden mit Brechdurchfall über 1-2 Tage. Bei schweren Vergiftungen tritt etwa 7 Tage nach der Giftaufnahme der Tod durch Leber- und Nierenversagen ein. Zur Leberschutztherapie bei Knollenblätterpilzvergiftungen wird Silybin angewendet, das die Aufnahme von Amatoxinen durch die Leberzellen verhindert.
Hom.:Amanita phalloides HAB, der frische Fruchtkörper (syn. Agaricus phalloides, Agaricus bulbosus). Anw.-Geb.: Durchfallerkrankungen.

Amanita phalloides, Grüner Knollenblätterpilz

Wenn Sie inhaltliche Anmerkungen zu diesem Artikel haben, können Sie die Redaktion per E-Mail informieren. Wir lesen Ihre Zuschrift, bitten jedoch um Verständnis, dass wir nicht jede beantworten können.