Lexikon der Arzneipflanzen und Drogen: Amanitine
Amanitine
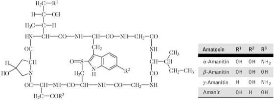
toxische, bicyclische Octapeptide aus der Gruppe der Amatoxine, die eine Indol-Sulfoxid-Brücke aufweisen und in Amanita-Arten vorkommen. A. hemmen die RNA-Polymerase B aller eukaryotischen Zellen und schädigen damit vorzugsweise die Leber. Sie werden nach oraler Aufnahme resorbiert und zeigen eine relative Stabilität gegenüber den Verdauungsenzymen.Amanin

Copyright 1999 Spektrum Akademischer Verlag, Heidelberg
Wenn Sie inhaltliche Anmerkungen zu diesem Artikel haben, können Sie die Redaktion per E-Mail informieren. Wir lesen Ihre Zuschrift, bitten jedoch um Verständnis, dass wir nicht jede beantworten können.