Lexikon der Arzneipflanzen und Drogen: Armillariella mellea
Armillariella mellea (Vahl. in Fl. Dan. ex Fr.) Karst. s.l.
Hallimasch.
Fam.: Tricholomataceae.
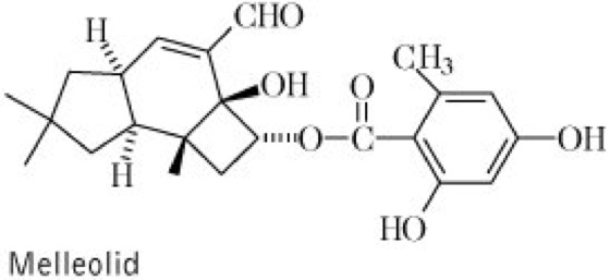
Inh.: u.a. Melleolid (antibiotisch wirksames Sesquiterpen) vgl. Formel, Armillylorselinat. vgl. Abbildung Anw.: Speisepilz, der roh gegessen zu Unverträglichkeitserscheinungen (Völlegefühl, Meteorismus, Brechdurchfälle) führen kann. Falls der Pilz für den Verzehr zubereitet wird, sollte das Kochwasser vor dem Essen abgegossen werden.


Armillariella mellea. Hallimasch.
Copyright 1999 Spektrum Akademischer Verlag, Heidelberg
Wenn Sie inhaltliche Anmerkungen zu diesem Artikel haben, können Sie die Redaktion per E-Mail informieren. Wir lesen Ihre Zuschrift, bitten jedoch um Verständnis, dass wir nicht jede beantworten können.