Lexikon der Arzneipflanzen und Drogen: Beta vulgaris
Beta vulgaris L.
Fam.: Chenopodiaceae.
Herk.: Mittelmeergebiet, Vorderasien, Mittel- und Südamerika.
Beta vulgaris var. altissima Döll.; Zuckerrübe. Inh.: Saccharose (bis zu 27 %), Coniferin, Galactinol, Vanillin, L-Arabinose, Maltose, Aminosäuren, Saponine, Allantoin, Fett. Anw.: zur Gewinnung von Rübenzucker (Saccharose).
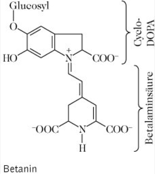
Beta vulgaris var. vulgaris, Rote Rübe (Rote Bete, Salatrübe). Inh.: Betalaine, wie Betanin vgl. Formel, Betanidin, Praebetanin, Betacyane, Betaxanthine (Chromoalkaloide), Allantoin, Aminosäuren, Spuren von äther. Öl. Anw.: als Roborans, bei Leber- und Nierenleiden, zur unterstützenden Therapie bei der Tumorbehandlung. Die Rüben werden auch als Gemüse und Salate gegessen.

Copyright 1999 Spektrum Akademischer Verlag, Heidelberg
Wenn Sie inhaltliche Anmerkungen zu diesem Artikel haben, können Sie die Redaktion per E-Mail informieren. Wir lesen Ihre Zuschrift, bitten jedoch um Verständnis, dass wir nicht jede beantworten können.