Lexikon der Arzneipflanzen und Drogen: Centella asiatica
Centella asiatica (L.) Urb.
(syn. Centella cordifolia, C. coriacea, C. dusenii, C. floridana, C.hirtella, C. repanda, C. triflora, C. uniflora, Centenella erecta, Hydrocotyle asiatica); Wassernabel (syn. Asiatischer Wassernabel, Indischer Wassernabel).
Fam.: Apiaceae (Unterfam. Hydrocotyledoneae).
Vork.: Südostasien, Madagaskar, Südosten der USA sowie östliches Südamerika; an Gewässern und sumpfigen Stellen.
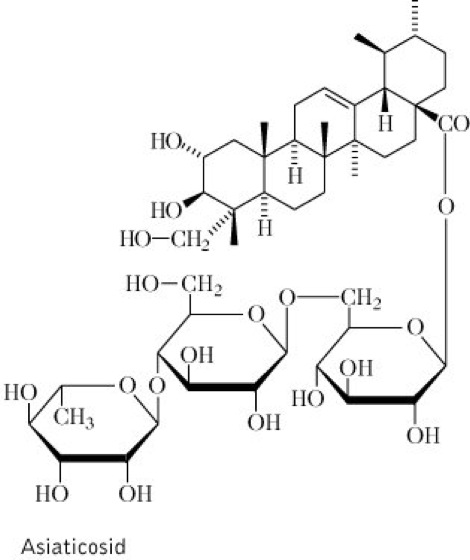
Droge:Centellae asiaticae herba (syn. Centellae herba, Herba Centellae, Herba Centellae asiaticae, Herba Hydrocotylaeasiaticae); Wassernabel-Kraut (syn. Indisches Wassernabel-Kraut), die getrockneten oberirdischen Teile. Inh.: Triterpensaponine, insbes. Asiaticosid vgl. Formel, ferner freie Triterpene, äther. Öl (ca. 0,1 %, u.a. Germacren D, β- Caryophyllen, p-Cymen und α-Pinen enthaltend) sowie Flavonolglykoside. Wirk.: Extrakte der Droge wirken wundheilend, antiphlogistisch und antibakteriell. Anw.: Hauptanwendungsgebiet ist die Leprabehandlung, in der Volksheilkunde Südostasiens ferner bei rheumatischen Beschwerden, zur Entwässerung und in der Ayurvedischen Medizin bei Psychosen und Epilepsie. Das aus der Droge gewonnene Asiaticosid dient ebenfalls als Lepramittel und wird darüber hinaus in der Wundbehandlung eingesetzt.
Hom.:Centella asiatica HAB1, die getrockneten, oberirdischen Teile. Anw.-Geb.: Gebärmutterentzündung, Hauterkrankungen mit Verdickungen und Juckreiz.

Wenn Sie inhaltliche Anmerkungen zu diesem Artikel haben, können Sie die Redaktion per E-Mail informieren. Wir lesen Ihre Zuschrift, bitten jedoch um Verständnis, dass wir nicht jede beantworten können.