Lexikon der Arzneipflanzen und Drogen: Cephamycine
Cephamycine
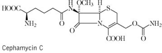
Gruppe von β-Lactamantibiotika, die sich von der 7-Amino-7-methoxy-ceph-3-em-4-carbonsäure (Cepham) ableiten. Sie sind β-lactamasestabil. Für die Produktion der C. werden Streptomyces clavuligerus oder Streptomyces lipmanii eingesetzt. Ihr Einsatz erfolgt ähnlich wie bei den Cephalosporinen.

Copyright 1999 Spektrum Akademischer Verlag, Heidelberg
Wenn Sie inhaltliche Anmerkungen zu diesem Artikel haben, können Sie die Redaktion per E-Mail informieren. Wir lesen Ihre Zuschrift, bitten jedoch um Verständnis, dass wir nicht jede beantworten können.