Lexikon der Arzneipflanzen und Drogen: Cholsäure
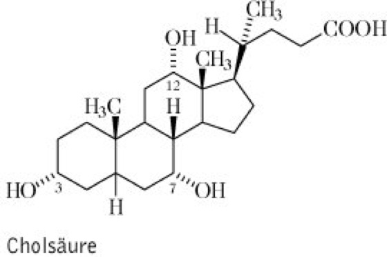
Cholsäure
(syn. Acidum cholicum, 3α,7α,12α-Trihydroxy-5β-cholansäure). Eine Gallensäure, die von der Leber aus Cholesterol gebildet wird und für die Fettverdauung bedeutsam ist. Anw.: zur Substitutionstherapie bei Verdauungbeschwerden sowie nach Gallenblasenoperationen.

Copyright 1999 Spektrum Akademischer Verlag, Heidelberg
Wenn Sie inhaltliche Anmerkungen zu diesem Artikel haben, können Sie die Redaktion per E-Mail informieren. Wir lesen Ihre Zuschrift, bitten jedoch um Verständnis, dass wir nicht jede beantworten können.