Lexikon der Arzneipflanzen und Drogen: Cichorium endivia
Cichorium endivia L.
Winterendivie.
Fam.: Asteraceae (Compositae).
Vork.: Mittelmeergebiet, in Europa als Salat- und Gemüsepflanze kultiviert.
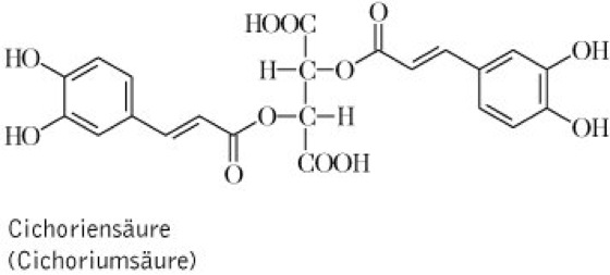
Inh.: Zimtsäurederivate, u.a. D-(+)-Dicaffeoylweinsäure (Cichoriensäure), ferner Flavonoide, bes. Kämpferolglykoside, und Sesquiterpenlactone.
Hom.:Cichorium endivia HAB1, die ganze, vor der Blüte geerntete Frischpflanze.

Copyright 1999 Spektrum Akademischer Verlag, Heidelberg
Wenn Sie inhaltliche Anmerkungen zu diesem Artikel haben, können Sie die Redaktion per E-Mail informieren. Wir lesen Ihre Zuschrift, bitten jedoch um Verständnis, dass wir nicht jede beantworten können.