Lexikon der Arzneipflanzen und Drogen: Cynara scolymus
Cynara scolymus L.
(syn. Cynara cardunculus); Artischocke (syn. Französische Artischocke, Grüne Artischocke, Kugelartischocke), vgl. Abbildung.
Fam.: Asteraceae (Compositae).
Vork.: heim. vermutlich in Äthiopien, Gemüsekulturen in Mittelmeergebieten, Blattkulturen in Mitteleuropa.
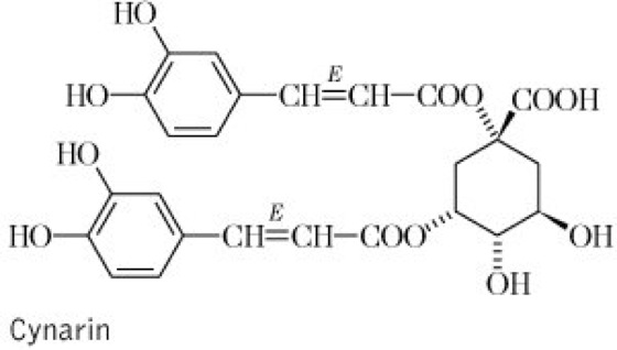
Droge:Cynarae folium (syn. Folia Cynarae); Artischockenblätter, die frischen oder getrockneten Laubblätter. Inh.: drei Gruppen. a) Sesquiterpen-Bitterstoffe (0,5-5 %), v.a. das Guajanolid Cynaropikrin. b) Caffeoylchinasäuren, bes. Chlorogensäure und Cynarin, eine 1,5-Di-O-caffeoyl-D-chinasäure vgl. Formel, gebildet als Artefakt bei der Bereitung des wässrigen Extraktes in der Wärme durch Umesterung aus 1,3-Di-O-caffeoylchinasäure. c) Flavonoide vom Luteolin-Typ. Wirk.: Auszüge der Droge wirken cholagog, hepatoprotektiv und lipidsenkend. Anw.: Mono- und Kombinationspräparate der Droge kommen insbes. bei dyspeptischen Beschwerden, bedingt durch verminderte Gallesekretion, zum Einsatz. Geg.: Verschluß der Gallenwege. Von Gemüsekulturen nutzt man die fleischigen Blätter und den Blütenboden als delikates Gemüse.
Hom.: Cynara scolymus HAB; Artischocke, die frischen, zur Blütezeit geernteten, oberirdischen Pflanzenteile. Anw.-Geb.: chronische Leber-Galle-Störungen.

Cynara scolymus, Artischocke

Wenn Sie inhaltliche Anmerkungen zu diesem Artikel haben, können Sie die Redaktion per E-Mail informieren. Wir lesen Ihre Zuschrift, bitten jedoch um Verständnis, dass wir nicht jede beantworten können.