Lexikon der Arzneipflanzen und Drogen: Dactinomycin
Dactinomycin
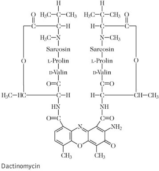
(syn. Actinomycin D oder C1, Meractinomycin). Heteromeres Peptid aus der Gruppe der Peptidlactonantibiotika. Es wird u.a. von Actinomyces antibioticus gebildet und ist in der Lage, im DNA-Doppelstrang zwischen die Basenpaare Guanin-Cytosin zu interkalieren. Anw.: D. wird hauptsächlich als Zytostatikum bei Wilms-Tumoren, Rhabdomyosarkom, Tumore des Hodens und des Uterus eingesetzt. Der Einsatz ist trotz der schweren Nebenwirkungen (u.a. Blutbildveränderungen, Erbrechen, Ekzeme) gerechtfertigt.

Copyright 1999 Spektrum Akademischer Verlag, Heidelberg
Wenn Sie inhaltliche Anmerkungen zu diesem Artikel haben, können Sie die Redaktion per E-Mail informieren. Wir lesen Ihre Zuschrift, bitten jedoch um Verständnis, dass wir nicht jede beantworten können.