Lexikon der Arzneipflanzen und Drogen: Dioscorea-Arten
Dioscorea-Arten
•Fam.: Dioscoreaceae.
•Dioscorea bulbifera L. (syn. Dioscorea crispata, D. pulchella, D. sativa); Yamswurzel (syn. Brotwurzel, Kartoffelyam, Wasser-Yam).
Vork.: tropisches und subtropisches Asien, tropisches Afrika. Dort wie auch in Zentral- und Südamerika kultiviert.
Droge:Rhizoma Dioscoreae; Yamwurzel, die getrockneten Knollen. Inh.: Stärke (ca. 80 %), Tannine, Sapogenine, u.a. Diosgenin. Anw.: auf Grund des Stärkegehaltes als Nahrungsmittel. In Südostasien wegen des Tanningehaltes auch zum Gerben von Fischnetzen.
•Dioscorea villosa L. (syn. Dioscorea paniculata, D. quinata); Zottige Yamswurzel.
Vork.: atlantisches Nordamerika.
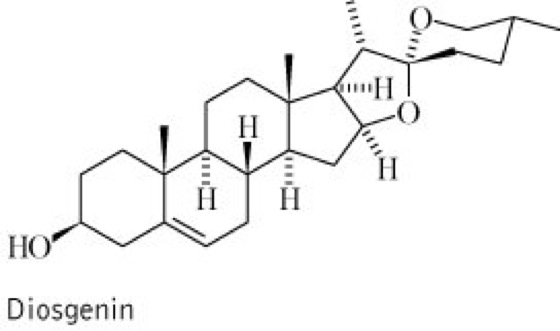
Droge:Rhizoma Dioscoreae villosae; Yamswurzel (syn. Brotwurzel), der getrocknete Wurzelstock ohne Wurzeln. Inh.: Stärke (ca. 80 %), Saponine, u.a. Dioscin sowie harzartiges Dioscorein. Anw.: Expektorans und Rheumamittel; in den Heimat- bzw. Anbaugebieten wegen des Stärkegehaltes nach dem Abkochen als Nahrungsmittel. Zahlreiche Dioscorea-Arten enthalten bis zu 10 % Diosgenin (bezogen auf das Trockengewicht), das zur Partialsynthese von Steroidhormonen genutzt wird. vgl. Formel.
Hom.:Dioscorea villosa HAB1, der frische, nach der Blütezeit gesammelte Wurzelstock. Anw.-Geb.: Koliken des Magen-Darm-Traktes.

•Histor.: Die Gattungsbezeichnung Dioscorea erfolgte zu Ehren des griechischen Arztes Dioskurides (40-90 n.Chr.).
Wenn Sie inhaltliche Anmerkungen zu diesem Artikel haben, können Sie die Redaktion per E-Mail informieren. Wir lesen Ihre Zuschrift, bitten jedoch um Verständnis, dass wir nicht jede beantworten können.