Lexikon der Arzneipflanzen und Drogen: Echinacosid
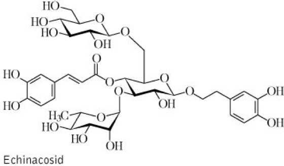
Echinacosid
3,4-Dihydroxy-phenylethyl-glucosid mit weiteren Glucosyl-, Rhamnosyl- und Coffeoyl-Resten. Wichtiger Inhaltsstoff von Echinacea-Arten.

Copyright 1999 Spektrum Akademischer Verlag, Heidelberg
Wenn Sie inhaltliche Anmerkungen zu diesem Artikel haben, können Sie die Redaktion per E-Mail informieren. Wir lesen Ihre Zuschrift, bitten jedoch um Verständnis, dass wir nicht jede beantworten können.