Lexikon der Arzneipflanzen und Drogen: Mitomycine
Mitomycine
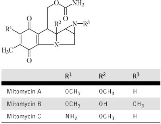
Gruppe strukturell ähnlicher, antineoplastisch wirkender Indolderivate, die von Streptomyces caespitosus, Streptomyces ardus und Streptomyces verticillatus gebildet werden. Wirk.: M. wirken als Alkylanzien (Semichinone), indem sie die DNA-Doppelstränge miteinander vernetzen. Anw.: Neben M. A und B wird vor allem M. C als Zytostatikum bei bösartigen Tumoren (Mammacarcinom, Zervixcarcinom, Bronchialcarcinom) eingesetzt.

Copyright 1999 Spektrum Akademischer Verlag, Heidelberg
Wenn Sie inhaltliche Anmerkungen zu diesem Artikel haben, können Sie die Redaktion per E-Mail informieren. Wir lesen Ihre Zuschrift, bitten jedoch um Verständnis, dass wir nicht jede beantworten können.