Lexikon der Arzneipflanzen und Drogen: Pergularia daemia
Pergularia daemia (Forsk.) Chiovenda
(syn. Pergularia extensa, Daemia extensa, D. angolensis, D. aethiopica, D. cordifolia, Asclepias daemia, Cyanchum cordifolium, C. extensum).
Fam.: Asclepiadaceae.
Vork.: tropisches Afrika, Ostindien.
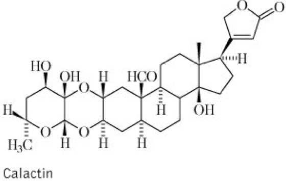
Droge: Blätter und Wurzeln. Inh.: herzwirksame Glykoside (Cardenolide), wie Uzarigenin, Calactin vgl. Formel; Lupeol, β-Sitosterol, α-Amyrin, Oleanolsäure, Bitterstoffe. Anw.: in der Volksheilkunde bei Dysenterie, als Antitussivum, zur Regulation der Menstruation, bei Geschwüren und Abszessen, bei Gonorrhoe sowie als Abortivum. In Afrika wird die Droge auch zur Bereitung von Jagdgiften (Fischfang) eingesetzt.

Copyright 1999 Spektrum Akademischer Verlag, Heidelberg
Wenn Sie inhaltliche Anmerkungen zu diesem Artikel haben, können Sie die Redaktion per E-Mail informieren. Wir lesen Ihre Zuschrift, bitten jedoch um Verständnis, dass wir nicht jede beantworten können.