Lexikon der Arzneipflanzen und Drogen: Petasites hybridus
Petasites hybridus (L.) Gaertn., Mey. et Scherb.
(syn. Petasites officinale, P. ovatus, P. petasites, P. vulgaris, Tussilago petasites, T. hybrida); Gemeine Pestwurz (syn. Pestilenwurz, Wasserklette), vgl. Abbildung.
Fam.: Asteraceae (Compositae).
Vork.: gesamtes Europa.
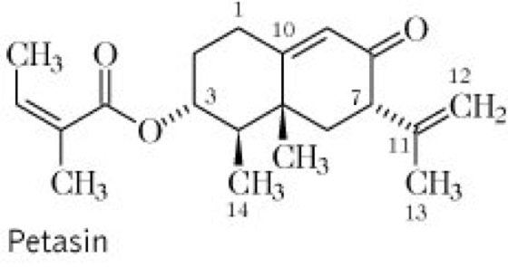
Drogen:1.Petasitidis folium (syn. Folia Petasites, Folia Petasitidis); Pestwurzblätter, die getrockneten oder frischen Blätter. Inh.: Flavonoide, u.a. Astragalin und Isoquercitrin, Sesquiterpene sowie in Spuren Pyrrolizidinalkaloide. Anw.: ausschließlich volkstümlich besonders bei Krampfzuständen im Magen-Darm-Bereich, Erkrankungen der Atmungsorgane, Galle- und Leberbeschwerden sowie äußerlich als Wundheilmittel. 2.Petasitidis rhizoma (syn. Radix Petasites, Radix Petasitidis, Rhizoma Petasitidis); Pestwurzwurzelstock (syn. Kraftwurz), die getrockneten, im Herbst geernteten unterirdischen Teile. Inh.: äther. Öl (0,1-0,4 %) u.a. 1-Nonen, Eremophilen und Furanoeremophilen, ferner Sesquiterpenester, die Derivate des Petasols, Iso- und Neopetasols darstellen, u.a. Petasin vgl. Formel, Petasalbin vgl. Formel, Iso- und Neopetasin sowie Pyrrolizidinalkaloide, besonders Senecionin und Integerrimin als Retronecinester. Anw.: in Zubereitungen in Form von lipophilen oder ethanolischen Extrakten (Tagesdosis 4,5-7 g Droge) zur unterstützenden Behandlung akuter krampfartiger Schmerzen besonders im Bereich der ableitenden Harnorgane sowie bei Spannungskopfschmerzen und Migräne. Volkstümlich auch bei psychovegetativen Funktionsstörungen im Magen-Darm-Bereich sowie bei Erkrankungen der Atmungsorgane, besonders Keuchhusten. Geg.: Aufgrund hepatoxischer, mutagener, teratogener und cancerogener Eigenschaften von Pyrrolizidinalkaloiden mit 1,2-ungesättigtem Necin-Gerüst bestehen Anwendungsbeschränkungen.
Hom.:Petasites hybridus HAB 1; Pestwurz, die gegen Ende der Blütezeit geernteten, oberirdischen Pflanzenteile. Anw.-Geb.: Erkrankungen der oberen und unteren Atemwege, der Leber, Galle und Bauchspeicheldrüse.
Histor.: Der Name Petasites wurde von Dioskurides geprägt, der die Blätter mit einem breitkrempigen Hut (griech. pefasos) verglich. Die Droge ist seit dem Altertum bekannt und wurde häufig angewendet, insbesondere die Blätter wurden bei Entzündungen, Geschwüren und Wunden aufgelegt. Im Mittelalter diente sie vor allem wegen ihrer diaphoretischen (schweißtreibenden) Wirkung als bestes Mittel gegen die Pest, die häufig mit Schwitzkuren therapiert wurde. Daher stammt auch die Bezeichnung Pestwurz, die auf Paracelsus und Leonhard Fuchs zurückgeht. Der Gattungsname Petasites wurde bereits bei Dioskurides benutzt. Er wird vom griechischen petasos (Regen- oder Sonnenschirm) abgeleitet, Bezug nehmend auf die riesigen Blätter der Pflanze.

Petasites hybridus, Gemeine Pestwurz


Wenn Sie inhaltliche Anmerkungen zu diesem Artikel haben, können Sie die Redaktion per E-Mail informieren. Wir lesen Ihre Zuschrift, bitten jedoch um Verständnis, dass wir nicht jede beantworten können.