Lexikon der Arzneipflanzen und Drogen: Pistacia lentiscus
Pistacia lentiscus L.
(syn. Pistacia chia, P. mutica, P. terebinthus, Terebinthus vulgaris); Mastix-Strauch (syn. Lentiske, Mastix-Pistazie, Pistakistrauch, Restringe), vgl. Abbildung.
Fam.: Anacardiaceae.
Vork.: Mittelmeergebiete, u.a. einige Inseln, besonders Chios (Anbau).
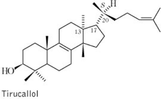
Drogen:1.Mastix (syn. Gummi Lentisci, Gummi Mastix, Mastix levantica, Resina Mastix); Mastixharz (syn. Chios-Mastix), der freiwillig austretende oder durch Einschnitte gewonnene und erhärtete Harzbalsam; vgl. Abbildung. Inh.: Harzfraktion mit den 3 Triterpensäuren Masticadienonsäure, Isomasticadienonsäure und Oleanolsäure sowie dem Triterpenalkohol Tirucallol vgl. Formel als Hauptbestandteil. Außerdem weitere Terpenoide sowie äther. Öl (1-3 %), das ca. 90 % Monoterpene, u.a. α-Pinen (ca. 79 %) als Hauptkomponente, enthält. Anw.: zur Herstellung von Pflastern, zur Fixierung von Wundverbänden und volkstümlich bei Magenbeschwerden sowie in der traditionellen Medizin der Erzeugerländer bei Beschwerden im Oberbauch, Magenschmerzen, Dyspepsie und Geschwüren im Verdauungstrakt. 2.Pistaciae lentistici folium (Folia Pistaciae lentisci); Pistazienblätter, die getrockneten Blätter. Inh.: äther. Öl (0,1-0,3 %), bestehend aus Terpenkohlenwasserstoffen (41 %, u.a. Camphen, Pinen und Terpinen), Estern (ca. 17 %), Alkoholen (16 %), Carbonylverbindungen (15 %) und Sesquiterpenen (9 %). Außerdem Flavonoide, u.a. Myricetin, und Gerbstoffe. Anw.: in der Volksheilkunde der Erzeugerländer als blutdrucksenkende Mittel sowie technisch zum Färben und Gerben. 3.Gallae Pistaciae terebinthini; Pistacia-terebinthus-Gallen (syn. Judenschote, Pistaziengallen, Terpentingallen), auf den Blättern durch Insekten erzeugte Gallen. Inh.: hydrolysierbare Gerbstoffe (50-60 %), insbesondere Ellagitannine, ferner saure und neutrale Triterpene, u.a. Dammarendiol, Dipterocarpol, Erythrodiol, Masticadienonsäure, Oleanolaldehyd und Tirucallol sowie äther. Öl (ca. 4 %). Anw.: volkstümlich in den Heimatgebieten der Droge zum Adstringieren, bei Asthma und Krampfhusten sowie technisch zum Färben von Seide und Wein.

Pistacia lentiscus, Mastix-Strauch

Pistacia lentiscus, Mastix, Mastixharz

Wenn Sie inhaltliche Anmerkungen zu diesem Artikel haben, können Sie die Redaktion per E-Mail informieren. Wir lesen Ihre Zuschrift, bitten jedoch um Verständnis, dass wir nicht jede beantworten können.