Lexikon der Arzneipflanzen und Drogen: Polypodium vulgare
Polypodium vulgare L.
(syn. Polypodium virginianum); Engelsüß (syn. Tüpfelfarn), vgl. Abbildung.
Fam.: Polypodiaceae.
Vork.: Mittel- und Südeuropa, Asien, Nordafrika, Amerika.
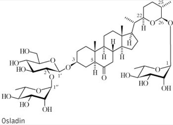
Droge:Rhizoma Polypodii (syn. Radix Polypodii, Radix Filicis dulcis); Engelsüßwurzelstock (syn. Eichenfarnwurzel, Korallenwurzel, Tüpfelfarnwurzel), der ganze Wurzelstock. Inh.: Ecdysteron, ein Steroid mit Wirksamkeit als Phytoecdyson; Polydin, Saponine, u.a. Osladin vgl. Formel (ist ca. 3000 mal süßer als Saccharose); äther. Öl, Phloroglucinderivate, Bitterstoffe und Gerbstoffe. Anw.: in der Volksheilkunde als Expektorans, Cholagogum, als mildes Laxans sowie als Mucilaginosum und Anthelmintikum (heute obsolet). Auch über eine Verwendung in Bitterlikören wurde berichtet.
Histor.: Die Engelsüßwurzel ist seit dem Altertum bekannt, Matthiolus wie auch die anderen Ärzte des Mittelalters verwendeten die Droge als Abführmittel, gegen Schrunden und Nasenpolypen sowie gegen Milz- und Lungenleiden. Bis in unsere Zeit hat die Volksheilkunde die Droge als Purgans und Cholagogum genutzt. Der Gattungsname Polypodium ist vom griechischen polýs (viel) und pódion (Füßchen) abgeleitet, vermutlich weil der Wurzelstock viele Blattreste aufweist. Die Bezeichnung Engelsüß weist auf das süßschmeckende Rhizom hin, dessen Heilwirkung die Menschen durch Engel erfahren haben sollen. Die Pflanze, über die bereits Dioskurides berichtet, diente in früherer Zeit vor allem als Abführmittel.

Polypodium vulgare, Engelsüß

Wenn Sie inhaltliche Anmerkungen zu diesem Artikel haben, können Sie die Redaktion per E-Mail informieren. Wir lesen Ihre Zuschrift, bitten jedoch um Verständnis, dass wir nicht jede beantworten können.