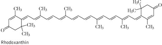
StartseiteLexikaLexikon der Arzneipflanzen und DrogenAktuelle Seite: Potamogeton natansLexikon der Arzneipflanzen und Drogen: Potamogeton natansvorheriger Artikelnächster ArtikelPotamogeton natans L.Laichkraut. Fam.: Potamogetonaceae. Vork.: weltweit im Süß- und Brackwasser. Droge: die ganze Pflanze. Inh.: Rhodoxanthin vgl. Formel, Zucker. Hom.:Potamogeton natans HAB 34, die ganze, frische Pflanze.Copyright 1999 Spektrum Akademischer Verlag, Heidelberg
Wenn Sie inhaltliche Anmerkungen zu diesem Artikel haben, können Sie die Redaktion per E-Mail informieren. Wir lesen Ihre Zuschrift, bitten jedoch um Verständnis, dass wir nicht jede beantworten können.
Unwahrscheinlich tödlich: Tod durch KnutschfleckNicht der Knutschfleck selbst, sondern was heftiges Schmusen manchmal in der Halsschlagader darunter erzeugt, kann schlimmstenfalls einen lebensgefährlichen Schlaganfall auslösen.
Gesundheitspolitik: Eine Zuckersteuer ist erst der AnfangDie Bundesregierung plant eine Herstellerabgabe für gezuckerte Getränke nach britischem Vorbild. Warum Fachleute die Maßnahme für richtig halten.
Demografie: Zahl der Geburten auf niedrigstem Stand der NachkriegszeitSo wenige Babys wie seit 1946 nicht mehr: Die Geburtenzahl in Deutschland sinkt weiter. Was das mit den weltweiten Krisen zu tun hat und was Experten fordern.
Krebs verstehen: Lohnt sich das Hautkrebsscreening?Trotz steigender Hautkrebsfälle steht das Hautkrebsscreening auf dem Prüfstand. Marisa Kurz beleuchtet die Vorteile und Nachteile der derzeitigen Vorsorgeuntersuchung.
Unsere ErnährungAusgewogen, gesund, nährstoffreich – das soll die richtige Ernährung sein. Doch wie geht das? Was ist zu beachten? Und warum ist die Darmflora so wichtig für das Wohlbefinden?
KörpergewichtEine ausgewogene Ernährung, ausreichend Bewegung im Alltag und eine stabile Psyche sind die Schlüssel für ein gesundes Körpergefühl und Gewicht.
ZoonosenMit unseren Haustieren teilen wir zuweilen mehr, als wir gerne hätten - und auch vom Waldspaziergang kann man unerwünschte Krankheitserreger mitbringen.
Wenn Sie inhaltliche Anmerkungen zu diesem Artikel haben, können Sie die Redaktion per E-Mail informieren. Wir lesen Ihre Zuschrift, bitten jedoch um Verständnis, dass wir nicht jede beantworten können.