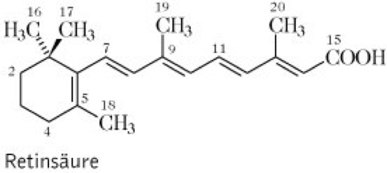
StartseiteLexikaLexikon der Arzneipflanzen und DrogenAktuelle Seite: RetinsäureLexikon der Arzneipflanzen und Drogen: Retinsäurevorheriger Artikelnächster ArtikelRetinsäure(syn. Tretinoin, Tretinoinum, Retinoesäure, Retininsäure, Vitamin-A-Säure). Anw.: zur Akne-Therapie, zur Behandlung bestimmter Tumorformen, bei Psoriasis. Geg.: Schwangerschaft.Copyright 1999 Spektrum Akademischer Verlag, Heidelberg
Wenn Sie inhaltliche Anmerkungen zu diesem Artikel haben, können Sie die Redaktion per E-Mail informieren. Wir lesen Ihre Zuschrift, bitten jedoch um Verständnis, dass wir nicht jede beantworten können.
Böller-Verletzungen: Was eine Handchirurgin in der Silvesternacht erlebtAn Silvester herrscht für Handchirurgen Hochbetrieb. Viele Handverletzungen sind selbst verschuldet, erklärt eine Ärztin. Besonders häufig betroffen sei vor allem eine Gruppe.
Psyche und Neurobiologie: Wie sich Angststörungen im Gehirn zeigenDie Angststörung ist eine besonders vielschichtige Erkrankung. Betroffene unterscheiden sich untereinander stark in der Art und Weise, wie ihr Gehirn auf Bedrohung reagiert.
Unwahrscheinlich tödlich: Tod durch verschluckte GräteGräten können nicht nur im Hals stecken bleiben – mitunter durchlöchern sie Verdauungsorgane, schlitzen Blutgefäße auf, gehen im Körper auf Wanderschaft oder bohren sich in den Po.
»Mein Mikrobiom-Masterplan«: Du bist, was du isstJeder gehört einem bestimmten »Darmtypus« an. Dennoch können wir über unsere Ernährung die Balance der Mikroorganismen und damit unsere Gesundheit beeinflussen. Eine Rezension
AnatomieKomplexes Gefüge, in Jahrmillionen optimiert: Die Anatomie des Körpers gibt Rätsel auf - und liefert Lösungen für technische Probleme.
Wenn die Psyche leidetAngststörungen, Persönlichkeitsstörungen, Zwangsstörungen – die Liste an psychischen Erkrankungen ist lang. In Deutschland ist pro Jahr fast jeder vierte Erwachsene betroffen.
LebenserwartungWie alt können wir wirklich werden? Forschung zu Longevity zeigt, wie Genetik, Lebensstil und Medizin unsere Lebenserwartung beeinflussen – und verlängern könnten.
Wenn Sie inhaltliche Anmerkungen zu diesem Artikel haben, können Sie die Redaktion per E-Mail informieren. Wir lesen Ihre Zuschrift, bitten jedoch um Verständnis, dass wir nicht jede beantworten können.