Lexikon der Arzneipflanzen und Drogen: Ristocetin
Ristocetin
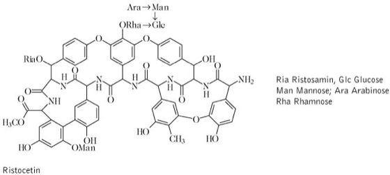
Glykopeptidantibiotikum, das von Nocardia lurida gebildet wird. Struktur und Eigenschaften sind Vancomycin sehr ähnlich.

Copyright 1999 Spektrum Akademischer Verlag, Heidelberg
Ristocetin
Glykopeptidantibiotikum, das von Nocardia lurida gebildet wird. Struktur und Eigenschaften sind Vancomycin sehr ähnlich.

Wenn Sie inhaltliche Anmerkungen zu diesem Artikel haben, können Sie die Redaktion per E-Mail informieren. Wir lesen Ihre Zuschrift, bitten jedoch um Verständnis, dass wir nicht jede beantworten können.