Lexikon der Arzneipflanzen und Drogen: Robinia pseudoacacia
Robinia pseudoacacia L.
Robinie (syn. Scheinakazie, Schotendorn), vgl. Abbildung.
Fam.: Fabaceae (Leguminosae).
Vork.: östliches Nordamerika, Mexiko, in Europa eingebürgert.
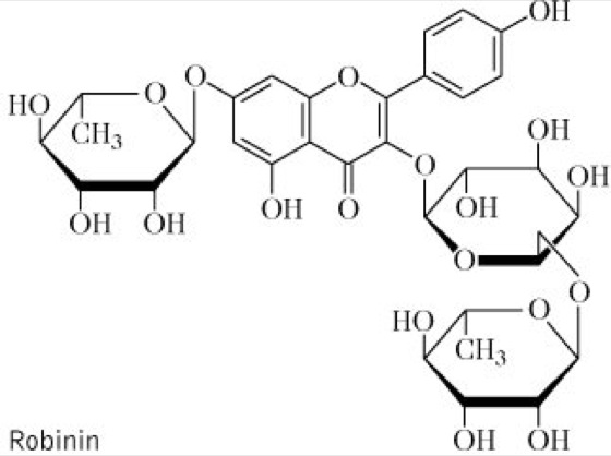
Drogen:1.Cortex Robiniae pseudacaciae; Robinienrinde (syn. Falsche Akazienrinde, Schotendornrinde). Inh.: toxische Proteine, wie Robin (ca. 1,6 %) und Phasin; Syringin, Gerbstoffe (2-7 %); Harz. 2.Folia Robiniae pseudacaciae; Robinienblätter (syn. Falsche Akazienblätter). Inh.: Indican, Asparagin, wenig äther. Öl, Flavonoide. Anw.: als Aromatikum. 3.Flores Robiniae pseudacaciae; Robinienblüten (syn. Falsche Akazienblüten). Inh.: Flavonoide, wie Robinin vgl. Formel, Acaciin; äther. Öl mit Anthranilsäureestern, Farnesol, Nerol, Linalool und anderen stark duftenden Stoffen. Anw.: als Aromatikum und Gewürz. Die Droge dient auch zur Bereitung von parfümierten Wässern sowie zur Ungeziefervertreibung.
Hom.:Robinia pseudoacacia HAB; Falsche Akazie, die frische Rinde der jungen Zweige. Anw.-Geb.: Erkrankungen des Magen-Darm-Traktes, bei Obstipation, Hyperacidität und Gastrointestinalgeschwüren.
Histor.: Der Gattungsname Robinia wurde nach Jean Robin, dem Gärtner Heinrichs IV. und Ludwigs XIII., benannt, da dieser den Baum Anfang des 17. Jh. aus Amerika nach Paris brachte. Die Bezeichnung pseudacacia rührt daher, daß man den Baum zunächst irrtümlicherweise für eine Acacia hielt.

Robinia pseudoacacia, Robinie

Wenn Sie inhaltliche Anmerkungen zu diesem Artikel haben, können Sie die Redaktion per E-Mail informieren. Wir lesen Ihre Zuschrift, bitten jedoch um Verständnis, dass wir nicht jede beantworten können.