Lexikon der Arzneipflanzen und Drogen: Ryania pyrifera
Ryania pyrifera (L.C. Rich.) Uittien
(syn. Ryania speciosa, Patrisia pyrifera).
Fam.: Flacourtiaceae.
Vork.: tropisches Südamerika.
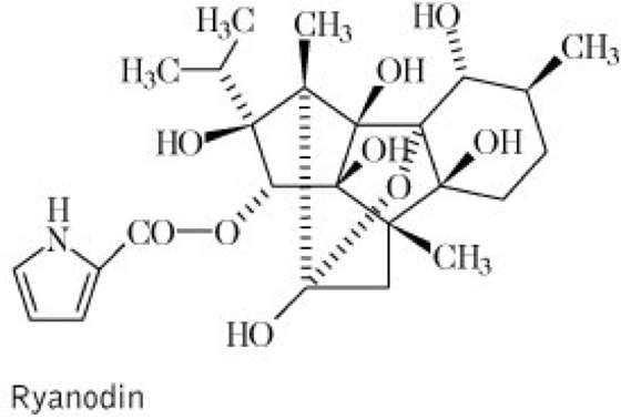
Inh.: 0,1-0,2 % Ryanodin (Esteralkaloid) vgl. Formel. Anw.: Als Fraß und Kontaktgift zur Insektenbekämpfung, insbes. in den USA gegen Raupen eingesetzt. In der experimentellen Pharmakologie zur Blockade der Calcium-Freisetzung aus dem sarkoplasmatischen Retikulum genutzt. Dabei führt R. zur Lähmung der Muskulatur.

Copyright 1999 Spektrum Akademischer Verlag, Heidelberg
Wenn Sie inhaltliche Anmerkungen zu diesem Artikel haben, können Sie die Redaktion per E-Mail informieren. Wir lesen Ihre Zuschrift, bitten jedoch um Verständnis, dass wir nicht jede beantworten können.