Lexikon der Arzneipflanzen und Drogen: Taxus baccata
Taxus baccata L.
Eibe (syn. Eife, Ibenbaum, Kantelbaum, Taxbaum, Ybe), vgl. Abbildung.
Fam.: Taxaceae.
Vork.: auf der nördlichen Erdhalbkugel, weltweit als Ziergehölz kultiviert. Wildwachsende Eibenbestände stehen unter Artenschutz!
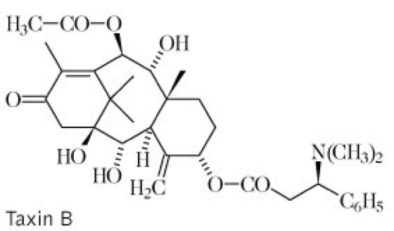
Droge:Herba Taxi baccatae; Eibenblätter (syn. Taxus-baccata-Blätter). Die Droge ist stark giftig! Inh.: Alkaloid-Gemisch (Taxin), u.a. Taxin A vgl. Formelund B vgl. Formel (basische Polyhydroxyditerpene mit Essigsäure oder β-Dimethylamino-β-phenylpropionsäure verestert); Baccatin III und 10-Desacetylbaccatin III; Taxacine (acylfreie Polyole); Biflavonoide, Phenole, wie Betulosid, Taxicatin. Anw.: früher in der Volksheilkunde innerlich als Wurmmittel, zur Förderung der Menstruation, gegen Epilepsie, Mandelentzündungen, Diphtherie sowie als Abortivum. Äußerlich wurde die Droge zur Wundbehandlung und als Antiparasitikum beim Vieh angewendet. In Indien gelten die Eibenblätter als Mittel zur Regulation der Fruchtbarkeit. Aufgrund der Toxizität der Droge ist eine Anwendung nicht zu empfehlen. Tox.: Nach Einnahme kommt es zur Schädigung des Herzmuskels, Übelkeit, Brechreiz, Koliken und Bewußtseinsstörungen. Der Tod tritt durch Atemlähmung ein. Der rote Samenmantel der Frucht (Arillus) ist nicht giftig, er enthält bis zu 37 mg Vitamin C pro 100 g Frischgewicht.
Hom.:Taxus baccata HAB 1; Eibe, die frischen Zweigspitzen. Anw.-Geb.: Erkrankungen des Magen-Darm-Traktes sowie der Haut.
Histor.: Die Giftwirkung der Eibe ist seit dem Altertum bekannt und wurde sowohl für Mordanschläge als auch für Suizide genutzt. Früher, besonders im 17. und 18. Jh., wurde der immergrüne Baum häufig als Hecke zur Flurabgrenzung eingesetzt. Der Gattungsname Taxus ist indogermanischer Herkunft, abgeleitet von teks (künstlich herstellen), da das Holz für Schnitzereien verwendet wurde; bacca (lat., Beere, d.h. beerentragend), bezieht sich auf die Frucht. Die deutsche Bezeichnung Eibe ist auf das althochdeutsche iwa zurückzuführen.

Taxus baccata, Eibe


Wenn Sie inhaltliche Anmerkungen zu diesem Artikel haben, können Sie die Redaktion per E-Mail informieren. Wir lesen Ihre Zuschrift, bitten jedoch um Verständnis, dass wir nicht jede beantworten können.