Lexikon der Arzneipflanzen und Drogen: Uncaria tomentosa
Uncaria tomentosa (Willd.) DC.
(syn. Nauclea aculeata, N. cinchoneae, N. polycephala, N. tomentosa, Ourouparia polycephala, Uncaria surinamensis, Uruparia tomentosa); Krallendorn.
Fam.: Rubiaceae.
Vork.: Zentralamerika, nördliches Südamerika, u.a. Honduras, Guatemala, Peru, Venezuela, Trinidad, Surinam.
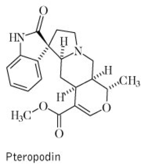
Droge:Radix Uncariae tomentosae; Krallendornwurzel, die Wurzelrinde. Inh.: Alkaloide (0,15-0,46 %), u.a. Isomitraphyllin, Mitraphyllin, Isopteropodin vgl. Formel, Pteropodin vgl. Formel, Speciophyllin, Uncarin F; Chinovasäurederivate; Ursol- und Oleanolsäurederivate; β-Sitosterol, Epicatechin, Procyanidin. Anw.: in der Volksheilkunde bei Arthritis, Gastritis und ähnlichen Störungen im Gastrointestinalbereich; bei Tumoren und Hauterkrankungen, als Immunstimulans, u.a. auch bei Neurodermitis, Gürtelrose und Rheuma.


Wenn Sie inhaltliche Anmerkungen zu diesem Artikel haben, können Sie die Redaktion per E-Mail informieren. Wir lesen Ihre Zuschrift, bitten jedoch um Verständnis, dass wir nicht jede beantworten können.