Lexikon der Arzneipflanzen und Drogen: Valeriana officinalis
Valeriana officinalis L.
Baldrian (syn. Arzneibaldrian, Balderbracken, Balderjan, Bullerjan, Gebräuchlicher Baldrian, Gemeiner Baldrian, Katzenbaldrian, Katzenkraut, Stinkbaltes), Sammelart, die sich durch große Mannigfaltigkeit an Formen, Varietäten und Unterarten auszeichnet; vgl. Abbildung.
Fam.: Valerianaceae.
Vork.: Europa und gemäßigte Zonen Asiens, Anbau auch in den USA.
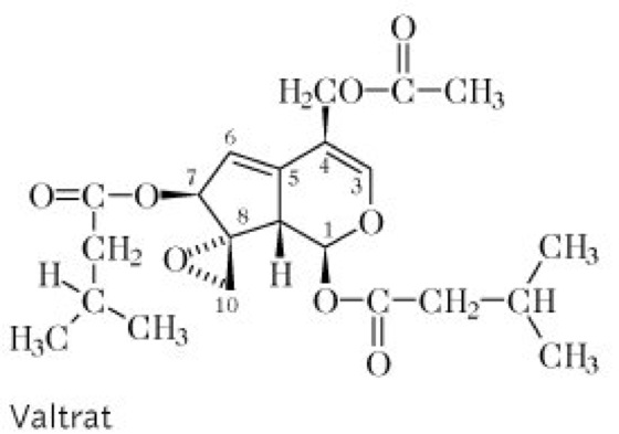
Droge:1.Valerianae radix (syn. Radix Valerianae, Valerianae rhizoma, Rhizoma Valerianae); Baldrianwurzel (syn. Augenwurzel, Balderbackenwurzel, Katzenwurzel, Katzenwürzel), die unterhalb 40 oC sorgfältig getrockneten unterirdischen Organe; vgl. Abbildung. Inh.: äther. Öl (0,3-0,8 %) mit Monoterpenen, bes. Borneol, Bornylacetat, Bornylisovalerat, Camphen, Campher, Carvylacetat, 1,8-Cineol, p-Cymen, Fenchen, Myrcen, Myrtenol sowie Sesquiterpenen, u.a. β-Bisabolen, γ-Cadinen, β-Elymen, Faurinon, Valeranon, Valerenal vgl. Formel, Valerenol, Valerenylisovalerat sowie den schwer flüchtigen Sesquiterpensäuren Acetoxyvalerensäure, Hydroxyvalerensäure und Valerensäure. Weitere Bestandteile sind Phenolcarbonsäuren, u.a. Chlorogensäure und Kaffeesäure, sowie trans-Hesperidinsäure (= Isoferulasäure), Valepotriate (0,5-2 % bei schonend getrockneter Droge) mit Valtrat vgl. Formel (50-80 %) als Hauptkomponente, IVDH-Valtrat und Acevaltrat sowie ihre stabilen Abbauprodukte Baldrinal vgl. Formel und Homobaldrinal; Alkaloide (0,01-0,05 %), u.a. Valerianin und α-Methylpyrrylketon. Anw.: als Anxiolytikum bei Unruhezuständen, nervös bedingten Einschlafstörungen und vegetativen Beschwerden. Extrakte sind Bestandteil zahlreicher diesbezüglicher Arzneifertigpräparate und Teemischungen. Zur Teezubereitung verwendet man als Einzeldosis etwa 2-3 g Droge (1 Teelöffel = 3-5 g). 2.Oleum Valerianae aethereum; Baldrianöl, das äther. Öl der Wurzeln. Inh.: s. Valerianae radix. Anw.: zur Herstellung von galenischen Präparaten, die ähnlich eingesetzt werden wie Valerianae radix.
Hom.:Valeriana officinalis HAB 1; Baldrian, die bei maximal 40 °C sorgfältig getrockneten, unterirdischen Pflanzenteile. Anw.-Geb.: Erkrankungen des Zentralnervensystems, des Herzens, des Magen-Darm-Traktes sowie des Stütz- und Bewegungsapparates.
Histor.: Der Gattungsname Valeriana ist die mittelalterliche Bezeichnung für Baldrian, die wahrscheinlich vom lateinischen valere (kräftig, wert sein) abgeleitet ist. Ob der deutsche Name Baldrian mit dem Lichtgott Baldur in Verbindung gebracht werden kann, ist umstritten. Bei den griechischen und römischen Ärzten des Altertums war der Baldrian unter dem Namen Phu bekannt und wurde bes. als menstruationsförderndes und harntreibendes Mittel eingesetzt. Spätere Indikationen waren auch die als Anthelmintikum, Aphrodisiakum und letztlich auch als Mittel gegen Pest, wie z.B. aus einem alten angelsächsischen Spruch "Trinkt Baldrian und ihr kommt alle davon" hervorgeht. Wohl wegen seines unangenehmen Geruches galt der Baldrian im Volksglauben lange Zeit auch als zauberabwehrendes Mittel. Die heutige Nutzung als Beruhigungsmittel wurde erst in neuerer Zeit erkannt.

Valeriana officinalis, Baldrian

Valeriana officinalis, Valerianae radix, Baldrianwurzel



Wenn Sie inhaltliche Anmerkungen zu diesem Artikel haben, können Sie die Redaktion per E-Mail informieren. Wir lesen Ihre Zuschrift, bitten jedoch um Verständnis, dass wir nicht jede beantworten können.