Lexikon der Astronomie: Große Vereinheitlichte Theorien

In den Großen Vereinheitlichten Theorien (engl. Grand Unified Theories, kurz GUT) ist die Vereinigung von dreien der fundamentalen Naturkräften gelungen, nämlich elektromagnetischer, schwacher und starker Wechselwirkung.
Motivation
Warum sollte man diese für uns offensichtlich separat in Erscheinung tretenden Kräfte vereinigen wollen? Die Antwort ist, dass die 'laufenden Kopplungskonstanten' der genannten drei Kräfte auf eine vereinigte Kraft hinweisen. Eine Kopplungskonstante ist als Maß für die Stärke einer Kraft zu verstehen. Die starke Kraft ist die stärkste von den vieren (daher ihr Name), die Gravitation die schwächste. Nun zeigt sich jedoch, dass sich bei höheren Energien die Kopplungskonstanten annähern: sie 'laufen' und konvergieren bei einer Energie von etwa 2 × 1016GeV, wie man aus Hochenergie-Experimenten in Teilchenbeschleuniger extrapolieren konnte. Ab dieser Schwellenenergie sind starke, elektromagnetische und schwache Wechselwirkung nicht mehr voneinander unterscheidbar und manifestieren sich in einer fundamentalen Kraft, der so genannten X-Kraft. Dies ist ein Zustand höherer Symmetrie. Ein Unterschreiten der Schwellenenergie von 2 × 1016 GeV bricht diese Symmetrie und sorgt für ein Aufspalten der X-Kraft in die elektroschwache und starke Kraft. Im Grenzwert kleiner Energien verschwindet demnach die X-Kraft, so wie wir es auch täglich beobachten.
Die drei Kräfte, die in der GUT zur X-Kraft 'verschmelzen', beschreiben die Physiker für sich genommen mit Quantenfeldtheorien. Die Quantenelektrodynamik (QED) beschreibt elektromagnetische Prozesse auf der Quantenebene, die Quantenchromodynamik (QCD) beschreibt den Zusammenhalt von Atomkernen und Nukleonen und das Glashow-Weinberg-Salam-Modell beschreibt schwache Prozesse, wie den Beta-Zerfall. Es liegt nahe, dass es auch für die GUT eine entsprechende Quantenfeldtheorie gibt. Sie kann aus der mathematischen Beschreibung der separaten Kräfte gewonnen werden. Dazu benutzen die Teilchenphysiker die Gruppentheorie. Jeder Wechselwirkung ist eine bestimmte Gruppenstruktur – eine Symmetriegruppe – zugeordnet:
Gruppenzugehörigkeiten
- Bei der elektromagnetischen Kraft heißt sie U(1), unitäre Gruppe. Aus dem Gruppenformalismus folgt die Existenz eines Botenteilchen der elektromagnetischen Wechselwirkung, dem Photon (die Regel, dass eine Gruppe N2 – 1 Erzeugende hat, gilt hier nicht!).
- Die schwache Wechselwirkung wird durch die spezielle, unitäre Gruppe SU(2) repräsentiert. Hier gilt die Regel, dass die Gruppe N2 – 1 Erzeugende hat, also drei (22 – 1 = 3) schwache Austauschteilchen. Es handelt sich um die masselosenWeakonen W+, W- und W0 genannt werden. Erst durch 'Mischung' – beschrieben mit dem Weinberg-Winkel – von Photon und Z-Teilchen in einer elektroschwache Theorie (Schwellenenergie: 1 TeV) wird aus dem masselosen W0 ein massebehaftetes Z0. Ebenso werden die geladenen W-Teilchen massiv. Das Higgs-Boson sorgt dann letztendlich über den Mechanismus der spontanen Symmetriebrechung für die hohen Massen der schwachen Eichbosonen.
- Die starke Wechselwirkung wird durch die SU(3) dargestellt. Sie hat gegenüber der SU(2) eine Dimension mehr. Daraus folgen acht (32 – 1 = 8) starke Eichbosonen, die eine so genannte Farbladung tragen: sie heißen Gluonen.
Wir basteln uns eine GUT
Das sind also die Gruppenstrukturen der separaten Kräfte. Die einfachste GUT erhält man, wenn man das direkte Produkt der einzelnen Symmetriegruppen der drei Wechselwirkungen (ohne Gravitation) bildet. So resultiert eine SU(5)-Theorie mit 24 Eichbosonen (52 – 1). Das heißt also, dass neben den 12 bisher bekannten Eichbosonen (8 Gluonen, 1 Photon, 2 W-Teilchen und 1 Z-Teilchen) 12 weitere hinzukommen. Diese neuen Eichbosonen nennt man X-Bosonen, und Y-Bosonen. Sie gehören zu den Leptoquarks (Neologismus aus Leptonen und Quarks). X- und Y-Bosonen und deren Antiteilchen sind elektrisch, schwach und farbgeladen. Außerdem sind es Vektorbosonen, die also Spin 1 haben. X- und Y-Bosonen sind superschwer und haben Massen um 1016 GeV – zum Vergleich: Proton und Neutron wiegen jeweils 1 GeV. Die X-Bosonen tragen eine elektrische Ladung von 4/3 Anteile der Elementarladung (e = 1.602 × 10-19 C). Demzufolge tragen Anti-X-Bosonen -4e/3. Die Y-Bosonen haben ein Drittel der Elementarladung, so dass Anti-Y-Bosonen die elektrische Ladung von -1e/3 tragen. Auf die insgesamt 12 X- und Y-Bosonen (inklusive Antiteilchen) kommt man nun, wenn man die Farbladung als weiteren Freiheitsgrad ergänzt: Jedes X-, Anti-X-, Y- und jedes Anti-Y-Boson kann die Farbladung rot, grün oder blau annehmen (entsprechend Indizes R, G, B). So benutzt man die Symbole XR, XG, XB, YR, YG, YB und für die Antiteilchen Anti-XR, Anti-XG, Anti-XB, Anti-YR, Anti-YG, Anti-YB.
Wir basteln uns eine andere GUT
Die Beschreibung der GUT mittels einer SU(5)-Gruppe stellt die einfachste Realisierung dar. Daneben wurde 1975 eine SO(10)-Eichgruppe vorgeschlagen (Fritzsch & Minkowski, Georgi). In der SO(10) ist die SU(5) als Untergruppe enthalten. Wie zu erwarten ist, sind in dieser Gruppe noch mehr Eichbosonen enthalten als die 24 der SU(5)-Theorie. Daneben können alle GUT-Modelle erweitert werden, so dass sie Supersymmetrie (SUSY) enthalten. Die Supersymmetrie entpuppt sich dabei als eine vitale Ingredienz, damit sich die drei laufenden Kopplungskonstanten tatsächlich in einem Punkt treffen. Ohne SUSY verfehlen sich die Kurven knapp. Deshalb gilt dieses extrapolierte Verhalten als gewichtigster Hinweis auf SUSY! Welche Gruppenstruktur die richtige Wahl für die GUT ist, muss die innere Konsistenz der Theorie und ihre Kompatibilität zu anderen Theorien sowie natürlich zum Experiment zeigen.
GUT und was sind die Konsequenzen?
1) Zerfall des freien Protons
Die wichtigste Folgerung der GUT ist der Zerfall des freien Protons. Das gebundene Proton zerfällt bekanntermaßen im radioaktiven β+-Zerfall. Sollte es die neuen Leptoquarks wirklich geben, so sind Feynman-Diagramme denkbar, in denen beispielsweise ein Proton in ein Positron und ein neutrales Pion (= Pi-Meson) zerfällt. Das neutrale Pi-Meson zerfällt seinerseits in Photonen (Photopionenproduktion), wie die Reaktionsgleichung rechts besagt. Solche Prozesse verstoßen gegen die Baryonenzahlerhaltung. Die Baryonenzahl B ist eine Quantenzahl. Für die Nukleonen (Proton und Neutron) ist sie jeweils 1, für das Antiproton -1, für die Quarks je 1/3, für Antiquarks -1/3 und für alle Leptonen (Elektronen, Myonen, Tauonen, Neutrinos) ist sie null. Mit dieser Kenntnis kann man folgende Baryonenzahl-Bilanz für die Zerfallsgleichung des Protons machen. Die linke Seite enthält nur das Proton: BL = 1 (L für 'links'). Die rechte Seite enthält nun ein Positron mit verschwindender Baryonenzahl, weil es ein Lepton ist und ein Pi-Meson. Das neutrale Pion besteht aus zwei Quarks, u-Quark mit B = 1/3 und Anti-u-Quark B = -1/3. So folgt BR = 0 (R für 'rechts'). Der Vergleich von BL und BR ergibt einen Unterschied, d.h. in diesem Prozess ist die Baryonenzahlerhaltung verletzt!
Protonenzerfall wird durch die X-Kraft vermittelt. Die extrem hohe Masse der X- und Y-Bosonen führt dazu, dass diese X-Kraft extrem kurzreichweitig ist. Anschaulich gesprochen müssen sich Teilchen sehr, sehr nahe kommen, damit sie die X-Kräfte spüren. Das ist sehr unwahrscheinlich. Präzise das ist der Grund dafür, dass die Zerfallszeit des freien Protons enorm groß ist. Theoretisch konnte man einen Wert von etwa 1032 Jahren ableiten! Experimentell versucht man dieses Phänomen mit Szintillationszählern zu messen. Diese Detektoren sind in der Lage kurze Lichtblitze zu messen, die aus dem Protonenzerfall als Cerenkov-Strahlung entstehen. Dazu werden die Zähler um einen großen Wassertank herum angeordnet. Der Grund, dass man gerade Wasser verwendet besteht darin, weil es naturgemäß sehr viele Protonen in Form von Wasserstoffatomkernen enthält (H2O). Wie die Zerfallszeit nahe legt, sollte bei einer Zahl von 1032 Protonen im Tank, der Zerfall einmal im Jahr beobachtbar sein. Ein noch größerer Tank verbessert die Statistik entsprechend. Bislang blieb der Erfolg aus und man konnte keinen Zerfall des freien Protons detektieren.
2) Materie-Antimaterie-Asymmetrie
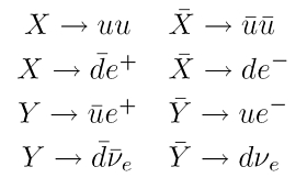
Die schweren X- und Y-Bosonen zerfallen in Quarks und Leptonen (siehe Reaktionsgleichungen rechts). Dabei wird nicht nur die Erhaltung der Baryonenzahl B verletzt, sondern auch die der Leptonenzahl L. Interessanterweise ist die Differenz B – L wieder eine Erhaltungsgröße (nur in der SU(5)-Theorie). Außerdem gilt Erhaltung der elektrischen Ladung. Man kann die GUT auch so auffassen: Sie stellt eine Symmetrie zwischen Quarks und Leptonen her. Dies besitzt eine Analogie zur Supersymmetrie, die eine Symmetrie zwischen Fermionen und Bosonen generiert.
In der Kosmologie und letztendlich für unsere Existenz sind die X- und Y-Bosonen von großer Bedeutung: Kurz nach dem Urknall waren alle Kräfte gleich. In dieser Planck-Ära gab es nur eine Urkraft. Schließlich setzte der erste Phasenübergang ein: Durch die Expansion des Universums und der damit verbundenen Abkühlung fand eine spontane Symmetriebrechung statt. Deshalb spaltete sich die Urkraft in die X-Kraft und die Gravitationskraft auf. Diese auf die Planck-Ära folgende Epoche nennt man die GUT-Ära. Zeitlich ist sie auf 10-36 bis 10-33 Sekunden nach dem Urknall anzusiedeln. Die GUT-Epoche ist gekennzeichnet von der Existenz superschwerer X- und Y-Bosonen mit Massen von etwa 1016 GeV. Doch das Universum expandierte weiter und wurde kälter. Beim Unterschreiten der GUT-Schwellenenergie von 2 × 1016 GeV, entsprechend einer Temperatur von 1029 Kelvin setzte der nächste Phasenübergang ein. Die X-Kraft zerfiel in elektroschwache Kraft und starke Kraft. Die X- und Y-Bosonen waren nun nicht mehr stabil. Sie zerfielen und reicherten die Urmaterie mit Quarks und Leptonen an. Interessanterweise war der Zerfall jedoch asymmetrisch: Es entstanden unterschiedliche Mengen von Teilchen und Antiteilchen. Das primordiale Plasma war heiß und dicht und die Teilchen konnten nicht 'friedlich' mit ihren Antiteilchen koexistieren. Es kam zu einer heftigen Vernichtungsschlacht von Teilchen und Antiteilchen, deren Gewinner die Gammaphotonen waren. In dieser Phase spricht man vom strahlungsdominierten Kosmos, weil die Annihilation (Zerstrahlung, Vernichtung) eine ungeheuer große Zahl an Photonen erzeugte. Nun kam jedoch die geringfügige Asymmetrie zum Tragen: Es gab ein bisschen mehr Teilchen als Antiteilchen. Am Ende der Annihilation gab es sehr viele Photonen, aber auch eine Materieteilchen. Dies war die Saat für die ersten Sterne, Galaxien und die Voraussetzung für irdisches Leben: Wo wären wir heute ohne X- und Y-Bosonen?
Novalis: 'Hypothesen sind Netze, nur der wird fangen, der auswirft...'
Die GUT ist demnach ein recht erfolgreiches und viel versprechendes Konzept. Allerdings darf man nicht vergessen, dass sie noch eine Hypothese ist, die nicht erfolgreich bestätigt werden konnten. Aber der Leiter der vereinheitlichten Kräfte steht man heute auf der Sprosse der elektroschwachen Theorie: Sie wurde bestens durch die Verifikation von Z- und W-Teilchen bestätigt.
Die Vereinigung von X-Kraft und Gravitation macht dagegen konzeptionelle Probleme. Die Hinzunahme der Gravitation zur GUT stellt gerade eine Vereinheitlichungaller Naturkräfte dar. Die Forscher sind noch nicht so weit, als dass sie diese Unified Theory (UT) gefunden hätten. Die Herausforderung besteht darin, eine robuste Quantengravitation zu formulieren. Das ist die Basis, um alle Kräfte quantenfeldtheoretisch einheitlich zu beschreiben. Ein Erfolg versprechender Kandidat für eine UT ist die M-Theorie. Sie kann als übergeordnetes Konstrukt zu den Stringtheorien angesehen werden. Einer Unifikation aller Naturkräfte scheint dieser Ansatz besonders nahe zu kommen, aber bisher tun sich die Stringtheorien schwer mit Detailvorhersagen, die direkt in aktuellen Experimenten überprüft werden könnten. Ein zweiter Forschungspfad ist die Loop-Quantengravitation (LQG), die weniger dem Unifikationsbestreben aller Kräfte folgt. Hier geht es speziell um eine quantisierte Beschreibung der Gravitation, die der Allgemeinen Relativitätstheorie in besonderem Maße Rechnung trägt.
Wenn Sie inhaltliche Anmerkungen zu diesem Artikel haben, können Sie die Redaktion per E-Mail informieren. Wir lesen Ihre Zuschrift, bitten jedoch um Verständnis, dass wir nicht jede beantworten können.