Lexikon der Astronomie: Kerr-Newman- de-Sitter- Lösung
Die Kerr-Newman-de-Sitter-Lösung ist eine Lösung der Einstein-Maxwell-Gleichungen, d.h. der Einsteinschen Feldgleichung der Allgemeinen Relativitätstheoriemit Λ-Term (siehe kosmologische Konstante) und mitMaxwell-Tensor auf der rechten Seite der Feldgleichung.
Motivation
Physikalisch motiviert ist diese Raumzeit, wenn man ein rotierendes, elektrisch geladenes Schwarzes Loch beschreiben will, das sich in einer Umgebung befindet, die mit dem Λ-Fluidum angefüllt ist. Die experimentelle Kosmologie belegt mit unterschiedlichen und unabhängigen Methoden, dass das späte Universum durch eine Form Dunkler Energie beschleunigt expandiert. Aus dem Zoo Dunkler Energien wird aktuell eine konstante Dunkle Energie mit einem w-Parameter von -1 favorisiert: Das ist gerade Einsteins kosmologische Konstante Λ. Um nun die Wechselwirkung eines Schwarzen Loches mit der Dunklen Energie in der Umgebung zu studieren, bietet sich genau eine Lösungsfamilie an, die im ganz allgemeinen Fall die Kerr-Newman-de-Sitter-Lösung darstellt.
zum Namen
Der Name Kerr-Newman-de-Sitter-Lösung kommt daher, weil diese Metrik beides beinhaltet: die rotierende Eigenschaft und die Ladungseigenschaft von der Kerr-Newman-Lösung und die kosmologische Konstante wie in der de-Sitter-Lösung.
Eigenschaften: Masse, Rotation, Ladung, Λ
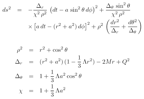
Die Kerr-Newman-de-Sitter-Raumzeit ist eine Vier-Parameter-Lösung, weil Massenparameter M, spezifischer Drehimpuls a = J/Mc, elektrische Ladung Q und die kosmologische Konstante Λ die Eigenschaften der Metrik eindeutig festlegen.
Unterscheidung nach Vorzeichen von Λ
Wie bei der de-Sitter-Raumzeit auch, sprechen Theoretiker von der Kerr-Newman-de-Sitter-Lösung (KNdS-Metrik), falls Λ > 0 (repulsive kosmologische Konstante; Antigravitation) und von der Kerr-Newman-Anti-de-Sitter-Lösung (KNAdS-Metrik), falls Λ < 0 (attraktive kosmologische Konstante). Im Grenzfall Λ = 0 ist gerade die gewöhnliche Kerr-Newman-Metrik mit verschwindender kosmologischer Konstante realisiert.
Interessanterweise hat die KNAdS-Metrik keinen Ereignishorizont.
Linienelement
Der Vollständigkeit halber sei das Linienelement an dieser Stelle notiert:

Weitere Raumzeiten
Verschwindet die elektrische Ladung, so liegt die Kerr-de-Sitter-Lösung vor. Verschwinden Ladung und sogar Drehimpuls dieses Loches, so ist gerade die Schwarzschild-de-Sitter-Lösung realisiert. Diese elektrisch neutralen Lösungen sind in der Astrophysik geeignete Modelle, um die Wechselwirkung von Schwarzem Loch und Dunkler Energie im Rahmen der klassischen Gravitation Einsteins zu studieren.
wissenschaftliche Publikation
- Gibbons, G.W. & Hawking, S.W.: Cosmological event horizons, thermodynamics, and particle creation, Phys. Rev. D15, 2738, 1977
Wenn Sie inhaltliche Anmerkungen zu diesem Artikel haben, können Sie die Redaktion per E-Mail informieren. Wir lesen Ihre Zuschrift, bitten jedoch um Verständnis, dass wir nicht jede beantworten können.