Direkt zum Inhalt

Lexikon der Astronomie: Kerr-Schild- Koordinaten

Kerr-Schild-Koordinaten sind eine mögliche Realisierung für ein Koordinatensystem um rotierendeSchwarze Löcher zu beschreiben. Rotierende, elektrisch neutrale Löcher werden im Rahmen der Allgemeinen Relativitätstheorie mit der Kerr-Lösung dargestellt. Die Kerr-Schild-Koordinaten sind die (vor allem numerisch) günstigere Alternative zu den Boyer-Lindquist-Koordinaten. Beide Koordinatensysteme sind pseudo-sphärisch und asymptotisch flach.

Vorteil von Kerr-Schild

Ihr besonderer Vorteil gegenüber den Boyer-Lindquist-Koordinaten ist der Umstand, dass sich die Kerr-Schild-Koordinaten am Ereignishorizont, dem äußerem Horizont r+, und auf der Rotationsachse des Loches (θ = 0) 'gutartig verhalten', d.h. keine unangenehmen Divergenzen auftreten. Die Metrik bleibt damit auch numerisch beschreibbar, ohne dass 'Unendlichkeiten' auftauchen. Dies liegt daran, weil die Lapse-Funktion α der Boyer-Lindquist-Koordinaten durch eine Größe z ersetzt wurde. α wird am Horizont null und bewirkt damit für einen Außenbeobachter das bekannte 'Einfrieren' dynamischer Prozesse, hervorgerufen durch den Stillstand der Zeit (gravitative Zeitdilatation, Gravitationsrotverschiebung).

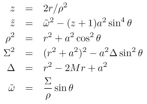
technische Details

Die Komponente grr des metrischen Tensors in Boyer-Lindquist-Form divergiert. Mithilfe der Größe z lässt sich das umgehen und die Randbedingung am (äußeren) Horizont numerisch sehr elegant formulieren. In der Äquatorialebene hat z für alle Löcher (unabhängig von der Rotation!) das Verhalten 2/r. Bei r = 0 divergiert demnach auch die z-Funktion. Am äußeren Horizont bleibt sie hingegen endlich und wird in relativistischen Einheiten am Äquator exakt zwei für die Kerr-Lösung und exakt eins für die Schwarzschild-Lösung. An den Polen des Ereignishorizonts wiederum wird z = 1 bei Kerr und Schwarzschild.
Die Kerr-Schild-Koordinaten können hier abgerufen werden: metrischer Tensor der Kerr-Geometrie in Kerr-Schild-Form sowie darin enthaltene Kerr-Schild-Funktionen (Quelle: S.S. Komissarov 2004, astro-ph/0402403). Wie man schnell erkennt, weist der metrische Tensor in Kerr-Schild-Koordinaten mehr Komponenten auf (exakt zwei Nebendiagonalelemente mehr plus ihrem symmetrischen Pendant), als in Boyer-Lindquist-Koordinaten. Das könnte erklären, weshalb häufig letztgenannte Koordinaten bevorzugt werden.

Motivation für Kerr-Schild

Weil die Kerr-Schild-Koordinaten kein pathologisches Verhalten an den Horizonten der Kerr-Lösung zeigen, kann es von Vorteil sein, sie in Computersimulationen (z.B. Hydrodynamik oder Magnetohydrodynamik) zu verwenden.

  • Die Autoren
- Dr. Andreas Müller, München

Schreiben Sie uns!

Wenn Sie inhaltliche Anmerkungen zu diesem Artikel haben, können Sie die Redaktion per E-Mail informieren. Wir lesen Ihre Zuschrift, bitten jedoch um Verständnis, dass wir nicht jede beantworten können.

Partnerinhalte

Bitte erlauben Sie Javascript, um die volle Funktionalität von Spektrum.de zu erhalten.