Lexikon der Astronomie: marginal stabile Bahn
Dies bezeichnet einen charakteristischen Orbit um ein Schwarzes Loch.
Stabile Rotation am Abgrund
Nicht alles in der Umgebung Schwarzer Löcher muss unbedingt in sie hineinfallen. Um ein Schwarzes Loch ist ebenso eine stabile Rotation auf Kepler-Bahnen möglich, wie bei den Planeten um die Sonne.
Es gibt allerdings eine charakteristische Grenze, die markiert, wo keine stabile Rotation mehr möglich ist: diese Grenze ist die marginal stabile Bahn. Es ist ein charakteristischer Radius bei Schwarzen Löchern, den man mit rms abkürzt. Etwas aussagekräftiger ist die alternative Bezeichnung ISCO, die für innermost stable circular orbit, also der 'innersten, stabilen Kreisbahn' steht. Ein Objekt, das sich auf kleineren Abständen als der marginal stabilen Bahn bewegt, muss entweder in das Loch fallen oder auf einer ungebundenen Bahn den Bereich des Lochs verlassen.
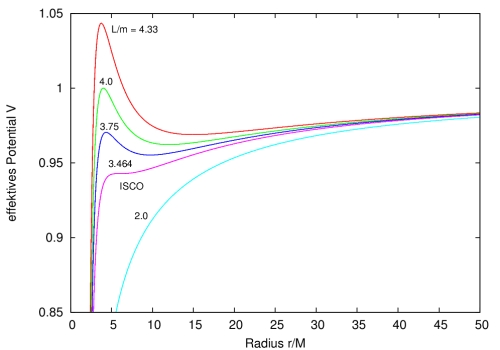
mächtiges Werkzeug: das effektive Potential
Ebenso wie bei der Diskussion von Planetenbahnen im Gravitationspotential der Sonne (gebundene Keplerbahnen) kann man Bahnen in einem effektiven Potential eines Schwarzen Loches für die Schwarzschild-Metrik oder die Kerr-Metrik diskutieren. Im folgenden Diagramm wird das in der Schwarzschild-Geometrie demonstriert:

Im Diagramm ist das Potential V über den Radius aufgetragen, wobei die Potentialkurven mit dem spezifischen Drehimpuls L/m des Probeteilchens mit Masse m parametrisiert sind. Die genaue Form des Potentials hängt also davon ab, wie schnell das Teilchen um das Loch rotiert. Der Radius wird wie in der Allgemeinen Relativitätstheorie üblich in Einheiten der Lochmasse M gemessen; dies sind gerade die geometrisierten Einheiten.
Tal: stabil – Berg: labil
Wie in der klassischen Mechanik auch, kann man mit diesen Potentialkurven das Schicksal von Teilchen diskutieren. Die Minima der Potentialkurven legen gerade die stabilen Keplerbahnen in der Äquatorebene des Loches fest. Die Potentialkurven für die spezifischen Drehimpulse L/m größer 3.464 zeigen ein ausgeprägtes Maximum. Reicht die Gesamtenergie einlaufender Teilchen aus, um diesen Potentialberg zu überwinden, so fällt das Teilchen in das Loch. Ist die Gesamtenergie kleiner als das Maximum von V, so wird das Teilchen am Potentialwall reflektiert. Es kann dann den Bereich des Loches wieder verlassen oder sich bei weiterem Energieverlust auf einer elliptischen Bahn 'einschwingen'. Im Potentialminimum nimmt das Teilchen eine stabile Kreisbahn ein (konstanter Radius).
marginale Stabilität am Wendepunkt
Bei dem bestimmten Wert L/m = 3.464 sieht man einen Wendepunkt im Potentialverlauf (violette Kurve). Von der Schulmathematik ist bekannt, dass in Wendepunkten die zweite Ableitung – hier die des Potentials nach dem Radius r – verschwindet. Diese spezielle Kurve kennzeichnet die engste Bahn um das Schwarze Loch, den Radius marginaler Stabilität oder ISCO. Hier ist gerade noch eine stabile Rotation um das Loch möglich. Wird jedoch das Teilchen gestört, so dass es sich nur ein wenig nach innen bewegt, fällt es in das Loch. Die Raumzeitstruktur des statischen Schwarzen Loches verbietet enge stabile Kreisbahnen nahe am Loch!
Lochrotation diktiert Ort der marginalen Stabilität
Für Schwarzschild (Kerrparameter a ist null) liegt die marginal stabile Bahn bei 6.0 Gravitationsradien. Im Diagramm oben ist bei diesem Abstand der Wendepunkt lokalisiert.
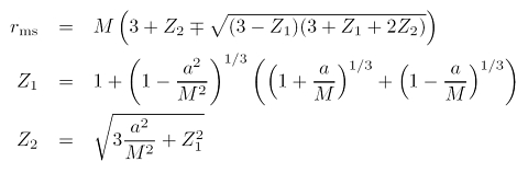
Für den extremen Kerr-Fall (Kerrparameter a ist eins) fällt rms mit dem äußeren Horizontradius zusammen und liegt bei nur einem Gravitationsradius. Für die Kerr-Geometrie kann ein ähnliches, effektives Potential diskutiert werden.
Die Mastergleichung in Kerr
Allgemein berechnet sich der ISCO gemäß folgender Gleichungen (Kerrparameter a, Masse des Schwarzen Loches M):

Wenn Sie inhaltliche Anmerkungen zu diesem Artikel haben, können Sie die Redaktion per E-Mail informieren. Wir lesen Ihre Zuschrift, bitten jedoch um Verständnis, dass wir nicht jede beantworten können.