Direkt zum Inhalt

Lexikon der Astronomie: Pioneer-Anomalie

Die Pioneer-Anomalie ist ein bisher nicht verstandener Beschleunigungseffekt der US-amerikanischen Raumsonden Pioneer 10 und Pioneer 11.

Das Pioneer-Forschungsprogramm

Pioneer 10 kurz vor dem Start Die Pioneer-Missionen der NASA zielten auf eine Erforschung des interplanetaren Raumes und insbesondere der Planeten im Sonnensystem. Pioneer 1 startete bereits am 11. Oktober 1958. Die Sonden Pioneer 10 und 11 wurden am 03. März 1972 bzw. am 05. April 1973 gestartet und sollten die Gasplaneten Jupiter und Saturn erforschen. Pioneer 10 (siehe Foto links; Credit: NASA/Ames Research Center) durchquerte als erste Raumsonde überhaupt den Planetoidengürtel zwischen Mars und Jupiter. Sie passierte Jupiter, den größten Planeten im Sonnensystem, am 03. Dezember 1973 in nur 130000 km Entfernung; Pioneer 11 erreichte am 01. September 1979 auch Saturn. Nach diesen Rendezvous mit den Gasplaneten verließen die Sonden durch ein Swing-by-Manöver am Gasgiganten Jupiter das Sonnensystem in entgegengesetzten Richtungen: Pioneer 10 wird in etwa zwei Millionen Jahren den Stern Aldebaran, ein Roter Riese und Hauptstern im Sternbild Stier, erreichen; Pioneer 11 steuert auf das Sternbild Adler zu und wird in etwa vier Millionen Jahren beim nächsten Stern ankommen. Die Kommunikation mit Pioneer 11 riss am 30. September 1995 ab. Pioneer 10 bewegte sich mit etwa 40000 km/h im Jahr 2001 von Erde weg. Diese Sonde funkte am 23. Januar 2003 das letzte Signal – derzeit dürfte Pioneer 10 etwa 90 Astronomische Einheiten entfernt sein. Kommunikationsversuche am 07. Februar 2003 und 03.-05. März 2006 schlugen fehl, vermutlich weil die Sendeleistung der Sonde nun zu schwach ist. An Bord von Pioneer 10 befindet sich auch die berühmte Goldplatte, in die Gestalten einer nackten Frau und eines nackten Mannes, das Sonnensystem, die Ziffer 8 als Binärzahl, der Hyperfeinstrukturübergang von neutralem Wasserstoff (21cm-Linie), die Silhouette der Sonde und die Position der Sonne relativ zu 14 Pulsaren und des galaktischen Zentrums eingraviert sind.

Kommunikation mit den Pioneer-Sonden

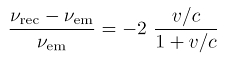
Zusammenhang zwischen Sondengeschwindigkeit, Sende- und Empfangsfrequenz Die interplanetare Kommunikation mit Raumsonden ist ein äußerst raffiniertes Verfahren: Im Fall der Pioneer-Sonden wurde von der Erde aus ein Radiosignal mit der Frequenz νem zu den Sonden gesendet. Es handelte sich um ein S-Band-Signal der Frequenz 2.11 GHz. Die Sonden bewegen sich relativ zur Erde mit einer Geschwindigkeit, so dass durch den speziell relativistischenDoppler-Effekt eine Frequenzverschiebung stattfindet. Genauer gesagt handelt es sich wegen der zunehmenden Entfernung der Sonden von der Erde um eine Doppler-Rotverschiebung (zweite Gleichung im Eintrag Doppler-Effekt), so dass die Sonde eine kleinere Frequenz des von der Erde kommenden Radiosignals misst. Die Sonde schickt mit der gleichen Radiofrequenz, mit der sie das irdische Signal empfängt, ein Signal zurück zur Erde. Dieses Sondensignal wird nun wiederum Doppler-rotverschoben, so dass bei der Erde eine neue Empfangsfrequenz νrec gemessen wird. Rechnerisch folgt diese Frequenz durch zweimaliges Anwenden der Doppler-Formel. Eliminiert man in diesen Gleichungen Sendefrequenz der Sonde durch Einsetzen, so resultiert eine Relation zwischen νem und νrec. Man schreibt diese Relation so um, dass man eine (dimensionslose) relative Frequenzänderung erhält (siehe Gleichung oben rechts, mit Vakuumlichtgeschwindigkeit c). Auf der Erde sind beide Frequenzen νem und νrec bekannt, so dass aus dieser Gleichung sofort die Sondengeschwindigkeit v folgt. Das Pioneer-Team hat über Jahrzehnte diese Dopplergeschwindigkeit der Sonden gemessen. Unabhängig davon wurde die Signallaufzeit Δt gemessen, die nach 2D = c Δt die Entfernung D der Sonden liefert.

Was ist so ungewöhnlich?

Schon 1979 wurde eine anomale Blauverschiebung des Doppler-Signals gemessen. Mit anderen Worten unterliegen die Pioneer-Sonden einer unerklärlichen Beschleunigung in Richtung Sonne. Eine Analyse der Messdaten zwischen 1987 und 1998 ergab eine konstante Zunahme dieser Blauverschiebung um etwa 6 × 10-9 Hz/s. Rechnet man dies auf Distanzen um, so folgt, dass sich die Sonden nach 15 Jahren um etwa eine Million Kilometer von der vorhergesagten Position entfernt befinden! Die Blauverschiebungsrate kann in eine konstante Abbremsung (negative Beschleunigung) umgerechnet werden, und man erhält etwa -8.74 × 10-8 cm/s2 (Anderson et al. 1998; 2002). Das hört sich nach einem sehr kleinen Wert an, aber diese Zahl bereitet den Physikern großes Kopfzerbrechen.

Messfehler oder neue Physik?

Woher kommt die Abbremsung der Pioneer-Sonden? Kann man allen Messdaten trauen oder beweist die Pioneer-Anomalie einen neuen, physikalischen Effekt? Nach bekannt werden der rätselhaften Abbremsung wurde eine Fülle von wissenschaftlichen Artikeln publiziert, die die Anomalie zu erklären versuchten. Im Folgenden werden mögliche Ursachen vorgestellt, von denen in der Literatur fast alle als Erklärung ausgeschlossen werden:

Ursachen bei der Sonde

  • Es kann sich nicht um den zufälligen Mess- oder Baufehler bei einer Sonde handeln, weil diese anomale Beschleunigung sogar von beiden Sonden unabhängig bestätigt wurde (Abweichung von 3%).
  • Ein Rückstoß der Sonden durch Senden des Radiosignals ist viel kleiner als die anomale Beschleunigung.
  • Ebenso ist eine Beschleunigung durch Emission von Wärmestrahlung ausgeschlossen, weil sie wegen des Leistungsabfalls der Sonde zeitlich variieren würde, aber die anomale Beschleunigung konstant ist.
  • Interplanetare Magnetfelder können nicht die möglicherweise elektrisch aufgeladenen Sonden so sehr beeinflusst haben.
  • Die radioaktive Energiequelle der Sonde ist Plutonium (Pu-238), ein Alpha-Strahler, der Helium erzeugt. Das Ausdampfen des Heliums führt zwar zu einem Rückstoss, kann aber als Ursache aufgrund der Kleinheit des Effekts und der speziellen Anordnung der thermoelektrischen Generatoren ausgeschlossen werden. Falls Variationszeitskalen bei der Anomalie auftreten würden, die vergleichbar mit der Halbwertszeit von Pu-238 (87.74 Jahre) sind, wäre das ein Hinweis auf die Energiequelle als Ursache (Nieto 2007).
  • Die Sonden verlieren Treibstoff und werden dadurch beschleunigt – auch das ist ein zu kleiner Effekt verglichen mit der Anomalie.

Ursachen bei der Auswertung

  • Ein Fehler in der Software zur Auswertung der Pioneer-Daten kann es auch nicht sein, weil drei verschiedene Programmpakete zum gleichen Ergebnis kamen.
  • Unsicherheiten in Parametern zur Bahnberechnung gibt es zwar, aber sie erklären nur Tages- und Jahresschwankungen der Pioneer-Daten – jedoch nicht die Jahrzehnte andauernde konstante Beschleunigung.
  • Probleme bei der Umrechnung in den verschiedenen Koordinatensystemen werden ebenfalls ausgeschlossen.

Ursachen durch bekannte Physik

  • Die Radiosignale werden durch interplanetares Gas und Plasma beeinflusst, aber auch dieser Effekt ist deutlich kleiner als die Anomalie.
  • Die Gravitationswirkungen der Körper im Sonnensystem, wie Sonne, Planeten, Monde, Kometen und Planetoiden wurden in aufwendigen numerischen Simulationen berücksichtigt und ergaben keine Erkenntnisse über den Ursprung der Anomalie.
  • Die relativistischeZeitdilatation (Shapiro-Effekt) der Radiosignale wurde berechnet und kann als Fehlerquelle ausgeschlossen werden.
  • Interplanetarer und interstellarer Staub bremst tatsächlich die Sonden in ihrer Bewegung in die Tiefen des Alls ab. Allerdings zeigen Berechnungen, dass dieses Material etwa 300000-mal dichter sein müsste, um die Anomalie erklären zu können. Das widerspricht Dichtemessungen, die z.B. mit der Sonde Ulysses durchgeführt wurden.
  • Der Sonnenwind beschleunigt die Sonden nach außen, würde also der Anomalie entgegenwirken. Der solare Strahlungsdruck nimmt außerdem jenseits von 15 Astronomischen Einheiten stark ab. Auch dieser Einfluss wird ausgeschlossen.
  • Die Rotation von Sender und Empfänger hat Einfluss auf die Doppler-Verschiebung der Radiosignale (Anderson & Mashhoon 2003). Allerdings ist auch diese so genannte Spin-Rotations-Kopplung viel zu klein.
  • Die Bewegung der Sonne senkrecht zur Ekliptik erzeugt zwar auch einen Effekt, der jedoch zu klein ist, als dass er Ursache der anomalen Beschleunigung sein könnte.
  • Die Expansion des Universum klingt nach einer reizvollen Erklärung für die Anomalie ist aber vernachlässigbar, wie schon Arbeiten von Einstein gezeigt haben (Einstein & Straus 1945).

Ursachen durch neue Physik

  • Ein Vorschlag nimmt Bezug auf die kosmologische Konstante, die nach der aktuellen Datenlage der experimentellen Kosmologie die favorisierte Form der Dunkle Energie im Kosmos ist. Laurent Nottale hat vorgeschlagen, dass die kosmologische Konstante zu einer Trägheitskraft führt, die die Pioneer-Sonden und andere freie Testkörper (aber nicht die Planeten!) zusätzlich beschleunige (gr-qc/0307042). Diese Zusatzbeschleunigung sei gerade die beobachtete, anomale Pioneer-Beschleunigung. Um den beobachteten Zahlenwert vollständig erklären zu können, sind allerdings weitere Effekte erforderlich.
  • Höherdimensionale Branenmodelle würden die Gravitationsgesetze modifizieren. Eine entsprechende Modifikation bei großen Abständen, wie im DGP-Szenario, könnte neue Einblicke in das Pioneer-Rätsel liefern.
  • Milgroms MOND-Theorie erklärt recht gut die Dynamik innerhalb von Spiralgalaxien und Galaxienhaufen, ohne dass die Existenz Dunkler Materie gefordert werden müsste. Es ist ein komischer Zufall, dass die empirisch bestimmte Beschleunigungskonstante a0 die gleiche Größenordnung hat, wie die konstante Beschleunigung bei der Pioneer-Anomalie. Es ist unklar, ob MOND das Pioneer-Problem löst.
  • Viele exotische und spekulative Vorschläge zur Lösung des Pioneer-Problems wurden gemacht, die alternative Gravitationstheorien involvieren, wie sie unter dem Eintrag Gravitation vorgestellt werden. Dennoch ist nicht klar, inwiefern das überzeugende Lösungen darstellen. Klare Hinweise durch weitere Beobachtungen müssen diese Alternativen erst festigen.

Bislang gibt es keine überzeugende Erklärung für die Pioneer-Anomalie. Sehr wahrscheinlich ist eine physikalische Ursache.

Deep Space Gravity Probe

Die Rätsel um die Pioneer-Anomalie haben zu dem Plan geführt, eine neue, speziell zur Untersuchung der Anomalie designte Mission zu starten. Das ESA-Missionsszenario Deep Space Gravity Probe soll Klärung verschaffen. Dies gehört jedoch zum Cosmic Vision Program der ESA, das erst Starttermine für 2015 – 2025 vorsieht. Eventuell geben auch andere, laufende Missionen wie die Pluto-Mission New Horizons Aufschluss über das Pionier-Problem.

Literatur, Datenquellen & Weblinks

  • Dittus, H. & Lämmerzahl, C.: Die Pioneer-Anomalie, Physik Journal 5, 25, 2006
  • Anderson, J.D. et al.: Indication, from Pioneer 10/11, Galileo, and Ulysses Data, of an Apparent Anomalous, Weak, Long-Range Acceleration, Phys. Rev. Lett. 81, 2858, 1998
  • Anderson, J.D. et al.: Study of the anomalous acceleration of Pioneer 10 and 11, Phys. Rev. D 65, 2004, 2002
  • Nieto, M.M.: The Quest to understand the Pioneer Anomaly, 2007, Preprint: gr-qc/0702017
  • Pioneer Website, NASA
  • Die Autoren
- Dr. Andreas Müller, München

Schreiben Sie uns!

Wenn Sie inhaltliche Anmerkungen zu diesem Artikel haben, können Sie die Redaktion per E-Mail informieren. Wir lesen Ihre Zuschrift, bitten jedoch um Verständnis, dass wir nicht jede beantworten können.

Partnerinhalte

Bitte erlauben Sie Javascript, um die volle Funktionalität von Spektrum.de zu erhalten.