Lexikon der Astronomie: Quarkstern
Bei sehr hohen Massendichten, die vergleichbar sind mit denen im Innern von Neutronensternen, erwarten Physiker, dass sich salopp gesagt 'die Nukleonen überlappen' und ein Übergang in Quarkmaterie stattfindet. Bereits vor vier Jahrzehnten wurde darüber nachgedacht, dass eine solche Materieform im Innern kompakter Sterne vorkommen könnte: in Quarksternen.
ultradichte Materie
Befassen wir uns zunächst mit extrem dicht gepackter Materie: Kern- und Teilchenphysiker sind an Phasendiagrammen der Quantenchromodynamik (QCD) interessiert. Wie in der klassischen Thermodynamik von Gasen geben Phasendiagramme darüber Auskunft, unter welchen thermodynamischen Bedingungen, d.h. ab welchen Dichten und Temperaturen, ein Übergang von der einen Phase in die andere stattfindet (Phasenübergang). Ein einfaches Beispiel eines Phasenübergangs ist das Gefrieren von Wasser, das dabei von der flüssigen in die feste Phase übergeht.
Um nun auf analoge Weise QCD-Phasendiagramme zu bekommen, müssen die Physiker sie mit geeigneten Methoden berechnen. Ein wesentliches Modell ist das MIT Bag-Modell, das entwickelt wurde, um aus den Quarks die Massen der Hadronen abzuleiten (Chodos et al., 1974). Die QCD kann numerisch auf dem Gitter gelöst werden (Lattice Quantum Chromodynamics, LQCD). Aus diesen Rechnungen resultieren Vorstellungen über Quarkmaterie und Zustandsgleichungen unter extremen Bedingungen.
Phasen dichter Materie
Bei hohen Dichten, etwa mehrfacher Kernmateriedichte und tiefen Temperaturen, kondensiert die Materie zu Quarkpaaren, was man in Analogie zur BCS-Supraleitung der Festkörperphysik Farbsupraleitung nennt. Die Quarks befinden sich in einem Fermi-See und solche an der Fermi-Oberfläche sind quasi frei.
Die drei Phasen in der QCD sind die hadronische Phase, die Quark-Gluonen-Phase und die farbsupraleitende Phase. Am trikritischen Punkt sind diese Phasen koexistent und stehen miteinander im Gleichgewicht, wie das QCD-Phasendiagramm rechts zeigt.
Daneben soll es aber noch eine im wörtlichen Sinne 'fremdartige Phase' geben: die Strange-Materie (siehe dazu Seltsamkeit). Diese Materie kommt in natürlicher Form nicht auf der Erde vor. Die Nukleonen bestehen aus den vertrauten up- und down-Quarks. Der US-amerikanische Physiker Edward Witten (* 1951) postulierte, dass nicht etwa die hadronische Phase, also Quarks eingeschlossen in einem Verbund, dem Grundzustand der QCD gleichkommen, sondern quasi-freie Quarkmaterie, die zu gleichen Teilen aus u-, d- und s-Quarks bestehe (strange matter hypothesis). Das MIT Bag-Modell wurde zum Effektivmassen-Bag-Modell erweitert, um diese Quarkphasen zu beschreiben (Schertler et al., 1998).
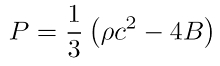
Dabei gelang es, eine einfache Zustandsgleichung der Strange-Materie abzuleiten (siehe Gleichung rechts). Neben der Materiedichte ρ und der Vakuumlichtgeschwindigkeit c enthält sie die so genannte Bag-KonstanteB, die anschaulich der Energie entspricht, die nötig ist, um aus dem Vakuum ein Hadron zu erzeugen. Sie wird in der Theorie häufig als freier Parameter angenommen, der zwischen 96 und 208 MeV fm-3 variiert.
Nimmt man einen Wert von B = (145 MeV)4 an, so zeigt sich mithilfe der Zustandsgleichung, dass ab einer besonders hohen Dichte, etwa ab 4 × 1014 g cm-3, die gerade oberhalb der Kernmateriedichte liegt, die Strange-Materie frei existieren kann – der Druck P verschwindet dann.
kompakte Sterne
Neben irdischen Experimenten in Teilchenbeschleunigern bieten kompakte Objekte ein wichtiges 'Fenster' in das Verständnis des Aufbaus ultradichter Materie. Daten aus Teilchenbeschleunigern und astronomische Beobachtungsdaten können mit den Rechnungen verglichen werden.
Das Innere von Neutronensterne ist ein natürlicher Ort, an dem solch extremen Materiedichten erreicht werden (unter dem Eintrag Neutronenstern befindet sich eine Darstellung der Neutronensternschalen mit entsprechender Dichte).
Allerdings werden verschiedene kompakte Sterne unterschieden, je nachdem aus welchem Materiegemisch sie bestehen:
- Neutronensterne sind im strengen Sinne rein hadronisch, d.h. sie bestehen nur aus der hadronischen Phase, z.B. einer Neutronenflüssigkeit (siehe dazu auch Fermionensterne).
- Hybridsterne bestehen aus einer hadronischen Phase und einer Quarkphase.
- Quarksterne (auch Q-Sterne genannt) bestehen an sich nur aus einer Quarkphase.
- Diquark-Sterne sind hier noch ein Spezielfall, die aus einer farbsupraleitenden Phase bestehen.
- seltsame Sterne (oder Strange Stars) bestehen aus Strange-Materie.
Außerdem unterscheidet man zwei Typen von Strange Stars, solche mit Kruste (engl. crust strange stars) und solche ohne Kruste (engl. bare strange stars). Im letzten Fall grenzt die Quarkmaterie direkt an die Umgebung des Sterns, was zu seltsamen Effekten führt.
Unterscheidungskriterium Sternmasse
Wie bei den Weißen Zwergen die Chandrasekhar-Grenze, lässt sich auch bei Sternen aus Strange-Materie eine maximale Masse ableiten, bevor auch der Quarkstern im dominanten Gravitationskollaps in sich zusammenfällt:
- Eine perturbative QCD-Rechnung (pQCD) liefert 1.32 Sonnenmassen bei einem Radius von nur 7.2 km.
- Eine nichtperturbative QCD-Rechnung führt auf den viel größeren Wert von 3.2 Sonnenmassen.
- Das Bag-Modell liefert einen intermediären Wert von 1.98 Sonnenmassen bei 10.78 km Radius.
Eine astronomische Messung der Sternmasse sollte daher Aufschluss geben über den Typen des kompakten Sterns.
Unterscheidungskriterium Sternradius
Eine Beimischung von Quarkmaterie 'weicht' die Zustandsgleichung auf, so dass Quarksterne (bei gleicher Masse) kompakter sein können als Neutronensterne, die aus einer reinen Hadronenphase bestehen (Schertler et al. 2000). Eine genaue Messung des Sternradius sollte deshalb Klarheit darüber verschaffen können, um welchen kompakten Stern es sich handelt.
Masse-Radius-Beziehungen
Zur Unterscheidung von Neutronensternen und Quarksternen kann man die beiden Unterscheidungskriterien Sternmasse und Sternradius auch in der Masse-Radius-Beziehung zusammenfassen. Zum Glück sind diese Relationen für beide Klassen sehr unterschiedlich:
- M ~ R-3 für Neutronensterne,
- M ~ R+3 bei den kompakteren Quarksternen aus Strange-Materie.
astronomische Tests
Die Messung der Sternradien ist das erste Hindernis in der Astronomie: die kompakte Sterne sind so klein und so weit weg, dass Astronomen sie nicht mit Teleskopen auflösen können (siehe dazu auch Auflösungsvermögen). Aus der Stellarphysik ist aber bekannt, dass die Leuchtkraft (siehe dort für die entsprechende Gleichung) mit dem Quadrat des Sternradius anwächst. Die scheinbare Helligkeit kann mühelos astronomisch beobachtet werden; die Leuchtkraft folgt dann erst mit bekannter Entfernung mittels des Distanzmoduls und der Effektivtemperatur, die ihrerseits aus dem beobachteten Spektraltyp folgt.
Auf diese Weise wurden einige Kandidaten für kompakte Sterne beobachtet, die noch kleiner, noch kompakter zu sein schienen, als typische Neutronensterne. Die Hypothese war daher, dass es sich dabei um Quarksterne oder seltsame Sterne handeln müsse. Diese Gebilde können noch kleinere Radien erreichen, weil sie besonders hohe Dichten haben.

Der Fall RX J185635-3754
Der Röntgenstern RX J185635-3754 wurde 1992 mit dem erfolgreichen, deutschen Röntgensatelliten ROSAT am Südhimmel im Sternbild Corona Australis (dt. Südliche Krone) entdeckt. Im Jahr 1997 enstand die optische Aufnahme oben von RX J185635-3754 (siehe Pfeilmarkierung) mit dem Weltraumteleskop Hubble (Credit: Fred Walter, State University of New York at Stony Brook und NASA, 1997).
Im Jahr 2002 wurde RX J185635-3754 mit dem US-amerikanischen Röntgenteleskop Chandra beobachtet. Mit einer Entfernung von nur 200 Lichtjahren und einer Effektivtemperatur von etwa 700000 Grad (hundertfach heißer als die Sonne!) folgte ein Radius von nur etwa 4 bis 8 Kilometern (Drake et al. 2002, astro-ph/0204159). Dieser sehr kleine Radius sorgte seinerzeit für Wirbel, legte er doch einen sehr guten Quarksternkandidaten nahe.
Die optischen Nachbeobachtungen ließen jedoch bald Zweifel an der Quarksterninterpretation aufkommen: zum einen musste die Entfernung zu 450 Lichtjahren nach oben korrigiert werden; zum anderen wurde vermutlich ein so genannter Hot Spot mit hoher Röntgenhelligkeit auf der Neutronensternoberfläche mit Chandra beobachtet. Aktuell wird daher von den Neutronensternforschern favorisiert, dass RX J185635-3754 ein ganz normaler, isolierter Neutronenstern mit deutlich größeren 34 km Durchmesser sei.
Das legen auch neue Beobachtungen nahe, die italienische Astronomen mit den europäischen Röntgenteleskop XMM-Newton durchgeführt haben (Tiengo & Mereghetti, ApJ 657, L101, 2007): sie entdeckten erstmals, dass RX J185635-3754 variiert wie ein Pulsar mit einer Periode von sieben Sekunden! Das schmälert die Quarksternhypothese, weil ein solches Pulsieren charakteristisch für Neutronensterne ist.
Fazit
Zurzeit gibt es keinerlei gute Kandidaten für Quarksterne oder seltsame Sterne in der Astronomie. Doch die astronomische Forschung wird durch immer bessere Satellitenprojekte (wie z.B. die geplanten, europäischen Missionen eROSITA und XEUS) auf experimenteller Seite vorangebracht, ebenso wie die theoretische Erforschung, die zu einem immer besseren Verständnis von ultradichter Materie führt.
Literatur
- Gibt es Quarksterne? von Markus Thoma (MPE), in Astronomie heute, September 2006
Wenn Sie inhaltliche Anmerkungen zu diesem Artikel haben, können Sie die Redaktion per E-Mail informieren. Wir lesen Ihre Zuschrift, bitten jedoch um Verständnis, dass wir nicht jede beantworten können.