Direkt zum Inhalt

Lexikon der Astronomie: Reichweite

Die Reichweite ist ein zentraler Parameter bei der Betrachtung der vier fundamentalen Naturkräfte in der Teilchenphysik:

Die Schweren kommen nicht so weit

Die Botenteilchen, die diese Wechselwirkungen übertragen, heißen Eichbosonen, die im Rahmen einer Eichtheorie (engl. gauge theory) beschrieben werden. In den Quantenfeldtheorien zeigt sich, dass die Ruhemassen der Eichbosonen über die Reichweiten entscheiden: Je schwerer das Eichboson ist, umso kurzreichweitiger ist die assoziierte Kraft.

vier Eichbosonen

Das Eichboson des Elektromagnetismus bzw. der Quantenelektrodynamik ist das Photon, diejenigen der schwachen Wechselwirkung heißen W- und Z-Teilchen (Weakonen), die der starken Wechselwirkung oder Quantenchromodynamik heißen Gluonen und das (noch nicht nachgewiesene und daher hypothetische) Eichboson einer quantisierten Gravitationstheorie oder Quantengravitation ist das Graviton.

Und so weit kommen sie

Weil Photon und Graviton keine Ruhemasse aufweisen, sind die damit verbundenen Wechselwirkungen, also Gravitation und Elektromagnetismus, im Prinzip von unendlicher Reichweite. Die beiden verbleibenden Kräfte des subatomaren Bereichs sind hingegen extrem kurzreichweitig. Die starke Wechselwirkung hat eine geringfügig höhere Reichweite als die schwache Wechselwirkung. Die Gluonen sind zwar ebenfalls masselos (bezogen auf die Ruhemasse), tragen aber eine Farbladung. Damit wechselwirken die starken Trägerteilchen selbst mit den Quarks und hadronischer Materie, was ihre Reichweite verkürzt (detaillierte Erklärung beim Eintrag Gluonen). Die Reichweite der schwachen Kraft ist deshalb so kurz, weil die Weakonen so massereich sind: 81 bzw. 91 GeV!

Reichweite ausrechnen

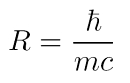
Gleichung für die Reichweite eines Eichbosons Rechnerisch folgt die Reichweite aus der Gleichung rechts, indem man rechts die Masse des Austauschteilchens einsetzt (h: Plancksches Wirkungsquantum, c: Vakuumlichtgeschwindigkeit). Die Gleichung kann man schnell anhand der Heisenbergschen Unschärferelation abschätzen oder exakt aus der Klein-Gordon-Gleichung im Rahmen der Quantenfeldtheorien ableiten.

  • Die Autoren
- Dr. Andreas Müller, München

Schreiben Sie uns!

Wenn Sie inhaltliche Anmerkungen zu diesem Artikel haben, können Sie die Redaktion per E-Mail informieren. Wir lesen Ihre Zuschrift, bitten jedoch um Verständnis, dass wir nicht jede beantworten können.

Partnerinhalte

Bitte erlauben Sie Javascript, um die volle Funktionalität von Spektrum.de zu erhalten.