Lexikon der Astronomie: thermonukleare Fusion
Warum geben die Sterne am Himmel Licht ab? Diese scheinbar banale Frage – eine der Urfragen der Astronomie – hat es in sich und wird in diesem Abschnitt beantwortet.
Eine Definition des Begriffs Stern im engeren Sinne ist, dass ein Stern aus der Verschmelzung von Atomkernen Strahlungsenergie gewinnt. Der Fachgriff für diesen Prozess lautet thermonukleare Fusion. Der Wortbestandteil thermo, grch. 'Wärme' deutet darauf hin, dass hohe Temperaturen benötigt werden. Nuklear leitet sich vom lateinischen Wort nucleus, dt. 'Kern', ab. Es handelt sich nämlich um einen kernphysikalischen Vorgang. Schließlich kommt das Wort Fusion ebenfalls aus dem Lateinischen und bedeutet 'Gießen, Schmelzen'. Unter Hitzeeinwirkung werden demnach Atomkerne verschmolzen. Ein Fachbegriff, der dasselbe meint wie thermonukleare Fusion, lautet stellare Nukleosynthese.
Je schwerer der Stern, umso schwerer die erzeugten Elemente
Das heiße Innere von Sternen ist für die Fusion ein ideales Milieu. Schon in der Sonne, einem verhältnismäßig kleinen Stern, werden im Zentrum etwa 15 Mio. Grad erreicht. Die verschiedenen thermonuklearen Fusionsprozesse wurden ab etwa 1930 vor allem von den Pionieren der Stellarphysik H.A. Bethe, C.F. von Weizsäcker und E.E. Salpeter entdeckt. Aus den Strukturgleichungen der Sterne, die einen Stern gastheoretisch beschreiben, folgt: Je massereicher der Stern ist, umso heißer ist sein Inneres. Die zur Fusion von Atomkernen benötigte Energie steigt mit der Schwere der Atomkerne (Atommasse) an. Das bedeutet in Verbindung mit dem zuvor Gesagten, dass massereichere Sterne schwerere Elemente fusionieren können.
Fusion mikroskopisch betrachtet
In der nuklearen Astrophysik unterscheidet man verschiedene Energieumwandlungsreaktionen, die wesentlich von der Temperatur abhängen. Mikrophysikalisch kann man sich die Fusionsprozesse folgendermaßen vergegenwärtigen: Für die Verschmelzung von positiv geladenen Atomkernen muss man den Coulomb-Wall der sich abstoßenden elektrischen Ladungen überwinden. Die dafür nötige Energie steigt mit der Ladungszahl. Thermische Energie auf der Mikroebene kann man sich als Teilchenbewegungen vorstellen, die klassisch mit der Maxwell-Boltzmann-Geschwindigkeitsverteilung beschrieben werden. Diese Verteilung besagt schlichtweg, wie viele Teilchen es zu jeder Geschwindigkeit gibt. Das Maximum dieser Verteilung steigt mit der Temperatur, d.h. heißere Gase enthalten im Mittel schnellere Teilchen. Es ist daher klar, dass für die Verschmelzung schwererer Teilchen eine höhere Gastemperatur (Zündtemperatur) nötig ist. Deshalb steigen die Zündtemperaturen mit den zu fusionierenden, schwerer werdenden Elementen (Wasserstoff H, Helium He, Kohlenstoff C, Sauerstoff O etc.) an. Ist das Objekt zu massearm, unterbleiben thermonukleare Fusionsreaktionen. Diese Objekte sind eher planetenartig und werden in der Astronomie Braune Zwerge genannt.
Es ist nicht alles Feuer, das brennt
Mit Anleihen aus der Poesie spricht man bisweilen vom 'nuklearen Feuer', was eine Assoziation zur chemischen Verbrennung auslöst. Sogar Astronomen sprechen vom Brennen (engl. burning) im Innern von Sternen. Fakt ist, dass diese Redeweise streng genommen falsch ist. Eine chemische Verbrennung ist eine Reaktion unter Beteiligung von Sauerstoff – das ist mitnichten bei der thermonuklearen Fusion der Fall. (Dass es Astronomen nicht immer so genau mit der Chemie nehmen, zeigt auch die Verwendung des Begriffs Metall.)
Übersicht aller thermonuklearen Fusionreaktionen
Wasserstoffbrennen
Das Wasserstoffbrennen oder auch pp-Reaktion genannt, die im Temperaturbereich zwischen 1 und 15 Millionen Kelvin abläuft. Für diese Zündtemperatur ist eine Sternmasse von mindestens 0.08 Sonnenmassen nötig. Das ist gerade die Massengrenze, die den Unterschied zwischen Stern und Braunem Zwerg ausmacht.

(Die Zeitangaben sind mittlere Zeiten für das Eintreffen der jeweiligen Reaktion.)
Die erste Reaktion ist die Fusion aus zwei Protonen (daher die Bezeichnung pp), wo bereits eine Energie von 1.44 MeV und Elementarteilchen (Positron und Elektron-Neutrino) frei werden. Diese Fusion startet erst ab einer Zündtemperatur von 10 Million Kelvin. Hierbei wird schwerer Wasserstoff, Deuterium 2H, freigesetzt. Deuterium ist ein Wasserstoffisotop, das im Atomkern ein Proton und ein Neutron hat.
An der zweiten Reaktion ist anstelle des einfachsten Wasserstoffisotops 1H (nur ein Proton im Atomkern) Deuterium beteiligt. Hier liegt die Zündtemperatur wesentlich niedriger, bei nur 1 Million Kelvin. In der letzten Reaktion der pp-Kette verwandelt sich das Heliumisotop He-3 in das schwerere Isotop He-4, wobei wiederum einfache Wasserstoffkerne für die Primärreaktion gebildet werden:

Diesmal sogar 12.85 MeV frei werden. Die freiwerdende Energie überträgt sich entweder als kinetische Energie auf die neu gebildeten Teilchen (und erhöht damit die mittlere Gastemperatur) oder wird als Strahlung freigesetzt. Neutrinos sind schwach wechselwirkende Teilchen mit kleiner Masse, die daher das Sonnenplasma verlassen und somit kühlen können. Die Energiebilanz der pp-Reaktion liefert 26.2 MeV = 4.2 × 10-12 J pro Heliumkern. Die 'Asche' dieser Fusionsreaktionen ist demnach Helium.
Wasserstoffbrennen ist die wichtigste thermonukleare Reaktion in der Sonne, die eher ein leichter Stern ist. Nur im Zentrum erreicht die Sonne besagte Temperatur von etwa 15 Millionen Kelvin, so dass auch nur dort die pp-Reaktion abläuft. Nebenbei gesagt, erzeugt demnach die Sonne in ihrem Innern Antimaterie (nämlich z.B. das Positron, das Antiteilchen des Elektrons), das jedoch kurz nach der Entstehung mit einem Elektron annihiliert, also zu Gammastrahlen zerstrahlt. Weiter außen befinden sich die Wasserstoffkonvektionszonen, wo das heiße Plasma der Sonne in vertikaler Richtung 'umgewälzt' wird, und so die Wärme an die Sonnenoberfläche befördert. Hierbei entsteht die typische Granulation der Sonne, eine körnige Struktur mit Konvektionszellen von etwa 100000 km Ausdehnung. Zum anderen findet Strahlungstransport von innen nach außen statt, so dass die Strahlung schließlich in der Photosphäre die Sonne verlässt.
CNO-Zykus
Die nächste, wesentliche Fusionsreaktionskette ist der Bethe-Weizsäcker- oder CNO-Zykus, benannt nach den wesentlichen, beteiligten Elementen Kohlenstoff (C), Stickstoff (N) und Sauerstoff (O). Dieser Kernprozess läuft neben der pp-Reaktion oberhalb von 10 Millionen Kelvin ab.
Schwerere Kerne wie Kohlenstoff unterliegen Resonanzreaktionen, weil die kinetische Energie eingefangener Nukleonen (hier Wasserstoff) gerade der Anregungsenergie eines schwereren Kerns entspricht. Die Reaktionen dieses Zyklus sind komplexer und vielfältiger. In der Summe werden hier jedoch auch vier Protonen zu Helium-4 (Atomkern mit zwei Protonen und zwei Neutronen) fusioniert: Auch im CNO-Zyklus wird aus Wasserstoff Helium. Kohlenstoff (genauer C-12) übernimmt in der Reaktionskette die Rolle eines 'nuklearen Katalysators', weil es an den Reaktionen immer beteiligt ist und verbraucht wird, aber zum Ende des Zyklus wieder in der Ausgangsmenge vorhanden ist. Die anderen Elemente Stickstoff und Sauerstoff tauchen im Zyklus als Zwischenprodukte auf, verschwinden aber wieder in der endgültigen Bilanz. Ein ganzer Zyklus besteht aus folgenden Reaktionen:

Der CNO-Zyklus ist bei der Sonne nicht besonders relevant und spielt erst bei massereicheren Sternen eine bedeutendere Rolle.
Die Energiebilanz ist exotherm, so dass auch hier etwa 25 MeV = 4 × 10-12 J pro Heliumkern frei werden. Endprodukt dieser Fusionskette ist also im Wesentlichen Kohlenstoff.
Heliumbrennen
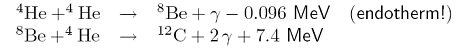
Die nächste Brennstufe ist das Heliumbrennen, besser gesagt der Triple-Alpha-Prozess oder Salpeter-Prozess, benannt nach drei α-Teilchen (Helium-4-Kerne), die für diesen Reaktionszyklus nötig sind. Er läuft oberhalb von etwa 100 Millionen Kelvin bzw. 0.25 Sonnenmassen ab, jedoch nur bei sehr hohen Plasmadichten ab. Hier wird Kohlenstoff 'gebrütet', und zwar nach folgendem Schema:

Das Übergangsprodukt Beryllium (Be) ist sehr instabil. Wegen der geringen Lebensdauer (10-16 Sekunden) dieser Substanz ist die Wahrscheinlichkeit der zweiten Reaktion nur 1:109! Bei der zweiten Reaktion handelt es sich um einen Resonanzeinfang, bei dem zunächst der instabile Übergangskern (Compoundkern) O+ entsteht, der aber rasch zu C-12 und zwei Gammaquanten zerfällt. Die Energiebilanz beträgt 7.3 MeV pro gebildeten Kohlenstoffkern. 'Asche' dieser Prozesse ist ebenfalls Kohlenstoff.
Bei der primordialen Nukleosynthese im frühen Universum konnte über diesen Prozess kein Kohlenstoff gebildet worden sein, weil das Universum einfach noch nicht dicht genug war.
Kohlenstoffbrennen
Eine weitere Brennstufe ist der C-Prozess oder das Kohlenstoffbrennen, der ab einer Temperatur von etwa 500 Millionen Kelvin zündet. Ab einer Masse von vier Sonnenmassen ist der Stern so schwer, dass die Kohlenstoffkerne die Coulomb-Barriere überwinden können und zu zahlreichen schwereren Elementen fusionieren (fünf Kanäle, d.h. fünf mögliche Reaktionsgleichungen):

Sauerstoffbrennen
Nun schließt sich der O-Prozess oder das Sauerstoffbrennen an, der oberhalb einer Temperatur von etwa 10 Milliarden Kelvin abläuft. Dabei fusionieren Kerne des Sauerstoffisotops O-16 zu verschiedenen, schwereren Elementen:

Die Energiebilanz ist zwar noch positiv, aber sukzessive mit der Fusion schwererer Elemente abnehmend.
Siliziumbrennen
Das Siliziumbrennen ist schließlich diejenige Fusionsreaktion, die die schwersten Elemente im Innern eines Sterns hervorbringen kann: nämlich Eisen (Fe) und Nickel (Ni). Die beteiligten Reaktionen sind die Folgenden:

Daneben hat sich durch die anderen Fusionsprozesse eine große Menge an Strahlung – ein signifikantes Photonenbad, wie Physiker sagen – gebildet, so dass sich andere Elemente auch über Photodisintegration bilden können:

Eisenbrennen is nich
Mit dem Siliziumbrennen enden die thermonuklearen Brennprozesse, weil die Energiebilanz aus der Fusion von Eisen nicht mehr positiv ist: Die Reaktionen sind dann ausschließlich endotherm! Die kernphysikalische Ursache dafür ist, dass Eisen die größte Bindungsenergie pro Nukleon hat und daher Fusionsreaktionen ausreichender Energiezufuhr benötigen. Für so schwere Kerne ist die Fission (Spaltung) der geeignete Prozess, um eine positive Energiebilanz zu erhalten. Diese Spaltprozesse schwerer Kerne finden im Innern von irdischen Kernreaktoren statt.
Woher kommt mein Goldkettchen?
Vom Juwelier, klar. Interessanter ist diese Frage in einem astronomischen Kontext: Wenn Eisen nicht fusioniert werden kann, woher kommt dann die Vielzahl schwerer Elemente nach Eisen, z.B. Schwermetalle wie Blei, Gold und Platin, Lathanoide, Actinoide, schwere Radionuklide etc.?
Sie werden einerseits in bestimmten Entwicklungsphasen von Roten Riesensternen erzeugt. Die so genannte AGB-Phase (AGB: Asymptotic Giant Branch, dt. asymptotischer Riesenast) ist im Hertzsprung-Russell-Diagramm (HRD) der Sterne einzuordnen. AGB-Sterne erzeugen die schweren Elemente in den s-Prozessen. Dabei werden auf der Zeitskala von Jahren Neutronen von den Atomkernen im Stern eingefangen und zu schweren Elementen bis zum Element Wismut (Bi, Ordnungszahl 83). Die Langsamkeit (engl. slowness) dieses Prozesses gab ihm den Namen.
Andererseits können auf deutlich kürzeren Zeitskalen von Millisekunden in den r-Prozessen (engl. rapid neutron capture) ebenfalls Neutronen eingefangen werden. Dieser Prozess ist besonders relevant am Ende der Entwicklung massereicher Sterne, wenn sie in katastrophalen Sternexplosionen, den Supernovae oder sogar als Hypernovae, ihr Dasein als 'normaler' Stern beenden. Die auslaufende Schockfront in der Explosion kann dabei so hohe Neutronendichten im interstellaren Medium erzeugen, dass der r-Prozess stattfindet. Typischerweise fangen mittelschwere Kerne in wenigen Sekunden bis Minuten mehrere hundert Neutronen ein! Die so neu gebildeten Kerne sind mit Neutronen stark übersättigt und in der Regel instabil: Sie zerfallen daher radioaktiv in α-, β- oder γ-Zerfällen. Auf diese Weise bilden sich verschiedenste Elemente (gemäß den so genannten Soddy-Fajans-Verschiebungsgesetzen), vor allem die schwereren Elemente mit Ordnungszahlen größer 26. Supernovae haben nahe am kollabierenden Sternkern ein neutronenreiches Milieu, das durch Kernphotospaltung des Eisens entsteht:

Durch die Neutronenanlagerungsprozesse formieren sich bevorzugt Atomkerne mit abgeschlossenen Neutronenschalen: Dies sind Kerne mit magischen Neutronenzahlen, wie 50, 82, 126,...
Die Sternenzwiebel
Da im Sterninnern der Temperaturgradient von innen nach außen abnimmt, brennen in massereichen Sternen in verschiedenen Schichten unterschiedliche Elemente, was man als Schalenbrennen bezeichnet. Daraus resultiert das prominente Zwiebelschalenmodell, wonach wie im Innern einer Zwiebel eine Blätterung unterschiedlicher fusionierter Elemente entsteht. Schwere Sterne haben deshalb im Innern einen Eisenkern, der den Gravitationskollaps am Ende der stellaren Entwicklung als Neutronenstern oder Quarkstern 'überleben' kann oder - bei sehr hohen Restmassen des Vorläufersterns – zu einem stellaren Schwarzen Loch kollabiert. Aktuell werden alternativ zum Schwarzen Loch die Gravasterne und Holosterne erforscht. Über sie ist noch relativ wenig bekannt, und es ist nicht klar, welchen kompakten Endzustand die Natur für die massereichsten Sterne vorsieht. Das klassische Schwarze Loch (Schwarzschild-Lösung, Kerr-Lösung) wird derzeit favorisiert.
Die Sonne auf die Erde holen
Das Fusionsfeuer brannte bereits auf der Erde. Für die Dauer von etwa zwei Sekunden gelang es, die kontrollierte Fusion von Wasserstoff in Gang zu halten. Viel früher wurde die unkontrollierte Fusion in der Wasserstoffbombe umgesetzt – mit fatalen Folgen.
Kernfusion soll kontrolliert und zum Wohl der Menschheit genutzt werden. Die hoffnungsvolle Eigenschaft der Fusionskraftwerke ist, dass sie äußerst effiziente Energieressourcen sind und der Brennstoff in ausreichender Menge – nämlich gebunden im Wasser – zur Verfügung steht. Das multinationale ITER-Projekt wird derzeit in Südfrankreich auf den Weg gebracht, um die Machbarkeit der Energieressource Fusion zu klären. Sollte das Gelingen, wären unsere Energieprobleme auf der Erde gelöst!
Wenn Sie inhaltliche Anmerkungen zu diesem Artikel haben, können Sie die Redaktion per E-Mail informieren. Wir lesen Ihre Zuschrift, bitten jedoch um Verständnis, dass wir nicht jede beantworten können.