Lexikon der Astronomie: Weyl-Tensor
Der Weyl-Tensor oder auch konforme Tensor genannt wurde benannt nach dem deutschen Mathematiker Hermann Klaus Hugo Weyl (1885 – 1955). Dieser Tensor 4. Stufe ist relativ kompliziert und kann zunächst für beliebige Dimensionen n allgemein notiert werden. In der Allgemeinen Relativitätstheorie (ART) gilt n = 4, weil Raumzeiten durch eine Zeitdimension und drei Raumdimensionen charakterisiert sind.

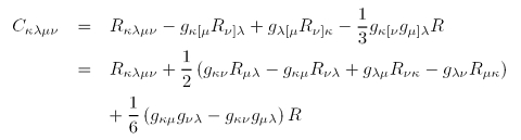
Berechnung des Weyl-Tensors
Anhand der Definitionsgleichung oben sieht man unmittelbar, dass der Weyl-Tensor ein recht kompliziertes Gebilde ist, das schon bei einfachen Raumzeiten nur mit einigem Aufwand zu berechnen ist. Es sei denn man nutzt so genannte computer-algebraische Systeme, die Tensorrechnungen am Computer bequem und schnell erlauben.
Die Gleichung zeigt auch, dass sich der Weyl-Tensor aus dem Riemann-Tensor (Krümmungstensor; R mit vier Indizes), dem Ricci-Tensor (R mit zwei Indizes) und dem Ricci-Skalar (R ohne Indizes) berechnen lässt.
Symmetrien
Neben den Symmetrien des Riemann-Tensors besitzt der Weyl-Tensor eine zusätzliche Symmetrie: er ist spurfrei, das heißt die Summe seiner Diagonalelemente verschwindet. Die Diskussion seiner Symmetrieeigenschaften lässt eine Klassifikation der Vakuum-Raumzeiten zu, die unter der Petrov-Klassifikation bekannt ist.
Indikator der Krümmungseigenschaften
Physikalisch ist der Weyl-Tensor besonders von Bedeutung, weil er sich zur Untersuchung der Krümmungseigenschaften von Raumzeiten eignet. Aus Riemann-Tensor und Weyl-Tensor lassen sich Riemannsche und Weylsche Invarianten bestimmen, die nicht vom Koordinatensystem abhängen. Dazu gehört auch der Kretschmann-Skalar. Eine Diskussion solcher Größen macht klar, wo die Krümmung besonders stark oder besonders schwach ist. Das erleichtert das Auffinden von Krümmungssingularitäten und die Charakterisierung als asymptotisch flache Raumzeit.
Wenn Sie inhaltliche Anmerkungen zu diesem Artikel haben, können Sie die Redaktion per E-Mail informieren. Wir lesen Ihre Zuschrift, bitten jedoch um Verständnis, dass wir nicht jede beantworten können.