Lexikon der Biochemie: 5alpha-Reduktasehemmer
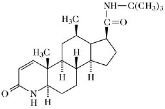
5α-Reduktasehemmer, Stoffe, die das Enzym 5α-Reduktase hemmen, das die Hydrierung der 4,5-Doppelbindung z.B. des Testosterons bewirkt. Damit wird die Bildung des eigentlichen androgenen Wirkstoffs gehemmt. 5α-R. werden bei benigner Prostatahyperplasie eingesetzt. Ein Beispiel ist das Azasteroid Finasterid (Abb.).

5α-Reduktasehemmer. Finasterid.
Copyright 1999 Spektrum Akademischer Verlag, Heidelberg
Wenn Sie inhaltliche Anmerkungen zu diesem Artikel haben, können Sie die Redaktion per E-Mail informieren. Wir lesen Ihre Zuschrift, bitten jedoch um Verständnis, dass wir nicht jede beantworten können.