Lexikon der Biochemie: ADP-Ribosylierung
ADP-Ribosylierung, Anheften von monomeren oder polymeren ADP-Ribosylgruppen an ein Protein. Die ADP-Ribosylgruppen werden durch NAD+ übertragen, wobei ihre Anzahl zwischen 1 und 50 variieren kann. Die Poly-ADP-Ribosylgruppen verkörpern ein neues Homopolymer, das aus sich wiederholenden ADP-Ribose-Gruppen besteht, die zwischen den jeweiligen Riboseteilen 1'→2'-verknüpft sind.
Die Freie Hydrolyseenergie der β-N-glycosidischen Bindung von NAD+ beträgt -34,4kJ/mol bei pH 7 und 25°C. Es liegt eine hochenergetische Bindung vor und NAD+ kann als Übertragungsagens für eine ADP-Ribosylgruppe fungieren. Die Übertragung einer ADP-Ribosylgruppe (n = 1 in obiger Gleichung) wird durch die ADP-Ribosyltransferase katalysiert. Die Bildung und gleichzeitige Übertragung von Poly-(ADP-Ribose) auf einen Akzeptor wird durch die Poly-(ADP-Ribose)-Synthetase katalysiert (n > 1 in obiger Gleichung).
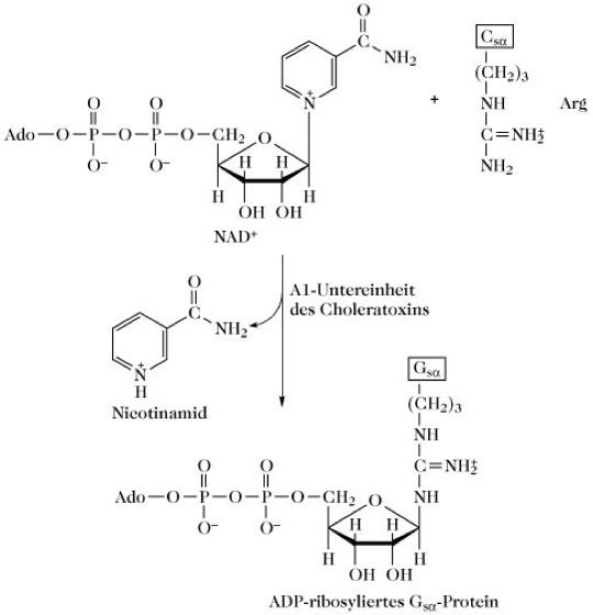
Die A-Domäne des Diphtherietoxins (produziert durch Corynebacterium diphtheriae-Stämme, die einen β-Phagen tragen) inhibiert die eukaryontische Proteinsynthese, indem sie den Elongationsfaktor 2 ADP-ribosyliert. Das Pseudomonas-Toxin katalysiert eine ähnliche Reaktion. Der T4-Phage katalysiert die monomere ADP-Ribosylierung der RNA-Polymerase und anderer Proteine in E. coli. Das Choleratoxin und verwandte Toxine von Enterobakterien katalysieren die ADP-Ribosylierung eines Argininrestes in der α-Untereinheit des GTP-bindenden Proteins Gs (Abb.). Dadurch wird die GTPase-Aktivität des Gs blockiert, so dass das Gs permanent aktiv ist und die Adenylat-Cyclase stimuliert. Dies führt dann zu einem Ansteigen an cAMP, wodurch der Ionenfluss in die Zelle und aus der Zelle heraus unterbrochen wird. Das Pertussis-Toxin (aus Bordetella pertussis, dem Erreger des Keuchhustens) katalysiert die ADP-Ribosylierung eines Cysteinrestes von Gi (einem GTP-bindenden Protein), welches dann nicht mehr in der Lage ist, seine Funktion als natürlicher Inhibitor der Adenylat-Cyclase auszuüben. Die Cholera- und Pertussis-Toxine katalysieren die ADP-Ribosylierung der meisten G-Proteine.
Poly-ADP-Ribosegruppen wurden in eukaryontischen chromosomalen Proteinen, mitochondrialen Proteinen und Histonen gefunden. Die biologische Funktion der ADP-Ribosylierung von Proteinen in eukaryontischen Zellen ist nicht bekannt, aber das Vorkommen von Poly-ADP-Ribosylgruppen bei Zellkernproteinen, insbesondere bei mit Chromatin assoziierten, weist darauf hin, dass sie für die funktionelle Regulation nukleärer Prozesse von Bedeutung ist. [O. Hayaishi u. K. Ueda Annu. Rev. Biochem.46 (1977) 95-116; M.R. Purnell et al. Biochemical Society Transactions8 (1980) 215-227; J. Moss u. M. Vaughan "Structure and Function of ARF-Proteins: Activation of Cholera Toxin and Critical Components of Intracellular Vesicular Transport Processes" J. Biol. Chem.270 (1995) 12.327-12.330; W. Mosgoeller et al. "Nuclear architecture and ultrastructural distribution of poly(ADP-ribosyl)transferase, a multifunctional enzyme" Journal of Cell Science109 (1996) 409-418]

ADP-Ribosylierung. Das Choleratoxin katalysiert die ADP-Ribosylierung eines spezifischen Arg-Rests der α-Untereinheit des GTP-bindenden Proteins GS.
Wenn Sie inhaltliche Anmerkungen zu diesem Artikel haben, können Sie die Redaktion per E-Mail informieren. Wir lesen Ihre Zuschrift, bitten jedoch um Verständnis, dass wir nicht jede beantworten können.