Lexikon der Biochemie: Albomycin
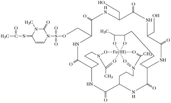
Albomycin, ein von Actinomyces subtropicus synthetisiertes Antibiotikum, das als zyklisches Polypeptid mit einer Pyrimidinbase (Cytosin) vorliegt. A. enthält 4,16% Eisen in Form eines Hydroxamateisen(III)-komplexes (Abb.). Es gehört zu den Sideromycinen (es hat Ähnlichkeit mit dem Grisein und ist möglicherweise mit diesem identisch) und greift als Antimetabolit der Sideramine in den Eisenstoffwechsel ein. Es ist sowohl gegen grampositive als auch gramnegative Bakterien wirksam und fungiert als Hemmstoff des aeroben Stoffwechsels von Staphylococcus aureus und Escherichia coli.

Albomycin
Copyright 1999 Spektrum Akademischer Verlag, Heidelberg
Wenn Sie inhaltliche Anmerkungen zu diesem Artikel haben, können Sie die Redaktion per E-Mail informieren. Wir lesen Ihre Zuschrift, bitten jedoch um Verständnis, dass wir nicht jede beantworten können.