Lexikon der Biochemie: Alternaria alternata-Toxine
Alternaria alternata-Toxine, Toxine, die von dem Pilz Alternaria alternata synthetisiert werden und eine Reihe von Pflanzenkrankheiten hervorrufen. Es gibt mehrere verschiedene Pathotypen, von denen jeder eine andere Spezies infiziert und unterschiedliche wirtsspezifische Phytotoxine produziert. Von diesen Phytotoxinen wurden einige charakterisiert.
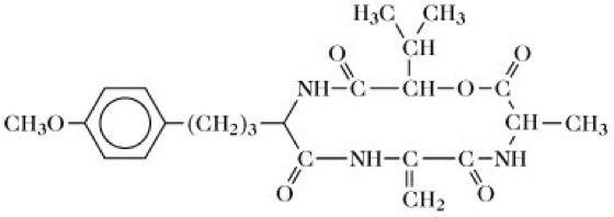
Der Pathotyp, der Äpfel angreift, produziert ein Toxin, welches aus mindestens sechs Verbindungen besteht, von denen zwei identifiziert worden sind: das Depsipeptid Alternariolid (Abb. 1) und sein Demethoxy-Derivat. In empfindlichen Apfelbäumen ruft das Alternariolid bei Konzentrationen im nM-Bereich eine interkostale Chlorose hervor. Bei resistenten Arten sind dafür Konzentrationen im μM-Bereich notwendig. Das Toxin verursacht plötzliche Elektrolytfreisetzung, was zu der Vermutung führt, dass der toxinsensitive Ort das Plasmalemma ist.
Verschiedene Pathotypen produzieren auch ein zyklisches Tetrapeptid, das Tentoxin, das in vielen Pflanzen (z.B. Salat, Kartoffel, Gurke, Spinat) Chlorose induziert. Davon ausgenommen sind Nicotiana, Tomate, Kohl und Rettich.
Der Pathotyp, der für den Tomatenstammkrebs verantwortlich ist, produziert drei verwandte Toxine (Abb. 2). Aspartat und bestimmte Produkte des Aspartatmetabolismus (z.B. Orotsäure) schützen die Tomatenpflanzen gegen die Toxine. Es wird vermutet, dass die Toxizität auf eine Inhibierung der Aspartat-Transcarbamylase zurückzuführen ist. Die Empfindlichkeit für die Krankheit wird durch einen einzigen genetischen Ort mit zwei Allelen kontrolliert.

Alternaria alternata-Toxine. Abb. 1. Alternariolid [S. Lee Tetrahedron Lett. No. 11 (1979) 843-846].

Alternaria alternata-Toxine. Abb. 2. Toxine der Alternaria alternata-F. sp.Lycopersici. [A.T. Bottini et al. Tetrahedron Lett. No. 22 (1981) 2.723-2.726]
Wenn Sie inhaltliche Anmerkungen zu diesem Artikel haben, können Sie die Redaktion per E-Mail informieren. Wir lesen Ihre Zuschrift, bitten jedoch um Verständnis, dass wir nicht jede beantworten können.