Lexikon der Biochemie: Anthocyane
Anthocyane, zu den Flavonoiden gehörende wichtige und weitverbreitete Pflanzenfarbstoffe (Farbtafel II u. III). Die A. sind intensiv gefärbt und bewirken die rote, violette, blaue oder schwarze Färbung von Blüten, Blättern und Früchten höherer Pflanzen. Die Vielfalt der Färbungen und Muster beruht auf dem Vorkommen verschiedener A. alleine oder in Kombination mit anderen, meist flavonoiden Farbstoffen (Copigmentierung). A. sind wasserlösliche Glycoside hydroxylierter 2-Phenylbenzopyryliumsalze, die durch Säure- oder enzymatische Hydrolyse in eine Kohlenhydratkomponente und die als Anthocyanidine bezeichneten wasserunlöslichen und instabilen Aglyca (Farbstoffkomponenten) gespalten werden.
Grundkörper der A. ist das aus 15 C-Atomen aufgebaute Flavyliumkation, wobei der Ring B sowie die C-Atome 2, 3 und 4 biogenetisch wie andere Flavonoide aus einer C6-C3-Einheit und der Ring A aus einem aus 3 Molekülen Acetat gebildeten C6-Körper hervorgehen (Stilbene). Der letzte genetisch bestimmte Schritt in der Anthocyanbiosynthese scheint die Konjugation mit Glutathion zu sein, als Auftakt zur Überführung der A. in die Vakuole. Das Gen, das diese Reaktion kontrolliert, wurde aus Mais kloniert (Gen Bronze2, Bz2) und die abgeleitete Primärsequenz des Enzyms weist Ähnlichkeit mit der von Glutathion-S-Transferase auf [K.A. Marrs et al. Nature375 (1995) 397-400].
Die Anthocyanidine unterscheiden sich in Zahl und Stellung von Hydroxylgruppen, die teilweise durch Methoxygruppen ersetzt oder z.B. mit p-Cumarsäure oder Ferulasäure acyliert sein können. Die Mehrzahl ist an den C-Atomen 3, 5 und 7 hydroxyliert. Anthocyanidine mit fehlender 3-Hydroxylgruppe, z.B. Apigenidin (3-Desoxypelargonidin), Luteolinidin (3-Desoxycyanidin) oder Tricetinidin (3-Desoxydelphinidin), sind seltener. Die Einführung weiterer Hydroxylgruppen in Ring B führt zu den drei Grundtypen Pelargonidin (4'-Hydroxy), Cyanidin (3',4'-Dihydroxy) und Delphinidin (3',4',5'-Trihydroxy), deren Glycoside bezüglich Menge und Verbreitung, die wichtigsten Vertreter dieser Farbstoffklasse sind.
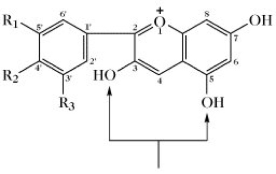
A. tragen den gewöhnlich β-glycosidisch gebundenen Kohlenhydratrest im Allgemeinen an der am C-Atom 3, seltener an der am C-Atom 5 befindlichen Hydroxylgruppe sowie bei den Diglycosiden in beiden Positionen (Abb.). Kohlenhydratkomponenten sind vor allem die Monosaccharide Glucose, Galactose und Rhamnose, seltener Xylose und Arabinose, vereinzelt auch Di- und Trisaccharide. Letztere werden als Bioside bzw. Trioside bezeichnet.
Nach Art, Zahl und Stellung der Kohlenhydratreste sind mehr als 20 verschiedene Anthocyantypen bekannt; insgesamt wurden weit über 100 natürliche A. isoliert und strukturell aufgeklärt.
A. zeigen amphoteres Verhalten. Die Salze der A. mit Säuren sind rot; im neutralen pH-Bereich bilden sich farblose Pseudobasen, während im alkalischen Bereich instabile, violett gefärbte Anhydrobasen auftreten. A. sind im Zellsaft gelöst, werden in die Vakuole abgeschieden und gehören zu den chymotropen Farbstoffen. Die Absorptionsmaxima der A. liegen bei 475-550 nm und um 275nm.

Anthocyane. Glycosylierung an einem oder beiden der markierten Orte mit Glucose, Galactose, Rhamnose oder Arabinose, bzw. mit verschiedenen Oligosacchariden ergibt die wasserlöslichen Anthocyane.
R1 = H, R2 = OH, R3 = OH: Cyanidin (blau; Kornblumen)
R1 = H, R2 = OH, R3 = H: Pelargonidin (rot; Geranien)
R1 = H, R2 = OH, R3 = OCH3: Peonidin (rot; Pfingstrosen)
R1 = OH, R2 = OH, R3 = OCH3: Petunidin (rot; Petunien)
R1 = OCH3, R2 = OH, R3 = OCH3: Malvidin (blau; Malven)
R1 = OH, R2 = OH, R3 = OH: Delphinidin (blau; Rittersporn)
Wenn Sie inhaltliche Anmerkungen zu diesem Artikel haben, können Sie die Redaktion per E-Mail informieren. Wir lesen Ihre Zuschrift, bitten jedoch um Verständnis, dass wir nicht jede beantworten können.