Lexikon der Biochemie: Arabinoside
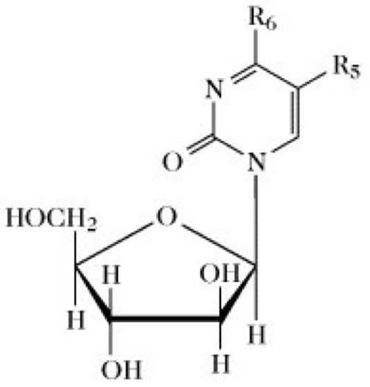
Arabinoside, Arabinonucleoside, Strukturanaloga der Ribonucleotide, in denen die Ribofuranose durch Arabinofuranose ersetzt ist (Abb.). 1-β-D-Arabinofuranosylcytosin (Cytosinarabinosid) inhibiert die Reduktion von Cytidindiphosphat zum entsprechenden Desoxynucleotid im Verlauf der DNA-Biosynthese. Es unterliegt einer raschen Desaminierung zum entsprechenden inaktiven Uracilderivat. 1-β-D-Arabinofuranosyluracil (Spongouridin) und 1-β-D-Arabinofuranosylthymin (Spongothymidin) wurden als natürlich vorkommende Pyrimidinanaloga in verschiedenen Schwämmen gefunden. Diese Arabinofuranosylderivate werden deshalb oft auch als Spongonucleotide (engl. sponge "Schwamm") bezeichnet.
Auch Purinbasen können Bestandteil von A. sein, z.B. 1-β-D-Arabinofuranosyladenin (Ara-A) und 9-[2(2-Hydroxyethoxy)methyl]guanin (Acyclovir). Sie werden alle mit Hilfe einer viralen Thymin-Kinase zu Triphosphatestern phosphoryliert, die die virale DNA-Polymerase inhibieren. Aus diesem Grund sind sie als antivirale Agenzien interessant, werden aber unglücklicherweise durch Adenin-Desaminase schnell desaminiert. Durch Veresterung der Zuckerhydroxylgruppen werden diese Verbindungen in die Lage versetzt, die Zellmembran leichter zu passieren, wodurch ihre Wirksamkeit verstärkt wird. Andere synthetische A., z.B. 2'-Fluoro-5-iodoarabinosylcytosin, wurden als potenzielle antivirale Agenzien untersucht. [ACS Highlights: Science 220 (1983) 292-293]

Arabinoside.Struktur bekannter Arabinoside.
| |||
| 1-β-D-Arabinofuranosylcytosin | NH2 | H | |
| 1-β-D-Arabinofuranosyluracil | H | OH | |
| 1-β-D-Arabinofuranosylthymin | OH | CH3 |
Wenn Sie inhaltliche Anmerkungen zu diesem Artikel haben, können Sie die Redaktion per E-Mail informieren. Wir lesen Ihre Zuschrift, bitten jedoch um Verständnis, dass wir nicht jede beantworten können.