Lexikon der Biochemie: Aromatenbiosynthese
Aromatenbiosynthese, Aromatisierung, Biosynthese von Verbindungen, die das Benzolringsystem enthalten. Die beiden wichtigsten Mechanismen der A. sind: 1) der Shikimisäure-Chorisminsäure-Weg, nach dem die aromatischen Aminosäuren L-Phenylalanin, L-Tyrosin und L-Tryptophan sowie 4-Hydroxybenzoesäure (Vorstufe von Ubichinon), 4-Aminobenzoesäure (Vorstufe von Folsäure), die Phenylpropane (Ligninbausteine, Zimtsäurederivate und die Flavonoide) synthetisiert werden; 2) der Polyketidweg (Polyketide), in dem Acetatmoleküle kondensiert und aromatische Verbindungen, z.B. 6-Methylsalicylsäure aufgebaut werden.
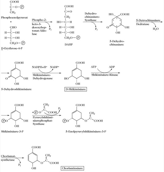
Die Biosynthese der Flavonoide, z.B. der Antho-cyanidine, erfolgt auf beide Arten. Ausgangsverbindungen aller Aromaten, die nach dem Shikimisäure-Chorisminsäure-Syntheseweg gebildet werden, sind die D-Shikimisäure und die Chorisminsäure (Abb. 2). Die Reaktionsfolge zur Bildung von Chorisminsäure, die der Verzweigungspunkt in der Biosynthese der entsprechenden Aromaten ist, zeigt Abb. 3.
Die A. wird durch Rückkopplungsmechanismen reguliert (Abb. 1). Der erste Schritt in der Biosynthese der drei aromatischen Aminosäuren wird durch die 2-Keto-3-desoxyheptonat-Aldolase (EC 4.1.2.15) katalysiert. Für jede aromatische Aminosäure gibt es ein eigenes Isoenzym, das sowohl einer Endproduktinhibierung als auch der Repression seiner Synthese durch die entsprechende Aminosäure unterworfen ist (Abb. 3). Regulatorische Isoenzyme spielen auch bei der Umwandlung von Chorismat in Prephenat eine Rolle.

Abb. 1. Aromatenbiosynthese. Vereinfachtes Schema der Regulation der Aromatenbiosynthese. Ia, Ib, Ic: Isoenzyme der Phospho-2-keto-3-desoxyheptonat-Aldolase (EC 4.1.2.15). Id, Ic: Isoenzyme der Chorismat-Mutase (EC 5.4.99.5).

Abb. 2. Aromatenbiosynthese. Schlüsselrolle der Chorisminsäure in der Aromatenbiosynthese.

Wenn Sie inhaltliche Anmerkungen zu diesem Artikel haben, können Sie die Redaktion per E-Mail informieren. Wir lesen Ihre Zuschrift, bitten jedoch um Verständnis, dass wir nicht jede beantworten können.