Lexikon der Biochemie: Batrachotoxin
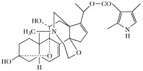
Batrachotoxin, ein Neurotoxin aus der Haut des kolumbianischen Pfeilgiftfrosches Phyllobates. Es ruft eine selektive und irreversible Permeabilitätssteigerung von Nervenmembranen für Na+ hervor. LD50 für Mäuse beträgt 2μg/kg i. v. Die toxische Wirkung tritt nur auf, wenn das B. injiziert wird oder über verletztes Gewebe eindringt. Mit der Nahrung aufgenommen, wirkt es nicht giftig, vorausgesetzt es liegt kein Riss oder Geschwür im Verdauungstrakt vor. B. A, aus der gleichen Quelle gewonnen, ist weniger toxisch (LD50 für Mäuse 1mg/kg i. v., Abb.).

Batrachotoxin.
Batrachotoxin, R = 
Batrachotoxin A, R = OH
Copyright 1999 Spektrum Akademischer Verlag, Heidelberg
Wenn Sie inhaltliche Anmerkungen zu diesem Artikel haben, können Sie die Redaktion per E-Mail informieren. Wir lesen Ihre Zuschrift, bitten jedoch um Verständnis, dass wir nicht jede beantworten können.