Lexikon der Biochemie: Bay-Region
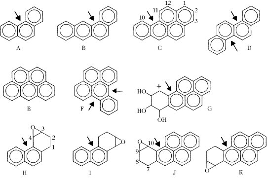
Bay-Region, ein buchtförmiger Bereich polyzyklischer Kohlenwasserstoffmoleküle, der hypothetisch dazu beiträgt, dass diese Moleküle potentere Procarcinogene sind als jene, denen sie fehlt. So wirkt z.B. Phenanthren stärker carcinogen als Anthracen und Benz[a]pyren ist ein potenteres Carcinogen als Benz[c,d]pyren. Die eigentlichen Carcinogene sind die Epoxide der polyzyklischen Kohlenwasserstoffe, die mit Hilfe von Cytochrom P450 gebildet werden. Die stärkste carcinogene Wirkung geht von den Epoxiden aus, die am Rand der B. liegen. Das heißt, das entscheidende Carcinogen, das auf metabolischem Weg aus Benz[a]pyren gebildet wird, ist das 7,8-Diol-9,10-epoxid. Die carcinogene Wirkung beruht auf der Alkylierung von DNA durch ein vom Epoxid abstammendes Carboniumion. Molekülorbitalstörungsrechnungen zeigen, dass die Bildung des benzylischen Carboniumions erleichtert wird, wenn das Carboniumion Teil der B. des polyzyklischen Kohlenwasserstoffs ist. Weitere Unterstützung erfährt die Theorie durch das synthetisch hergestellte 1,2,3,4-Tetrahydrophenanthren-3,4-epoxid (Epoxidgruppe am Rand der B.), das stärker carcinogen wirkt als 1,2,3,4-Tetrahydrophenanthren-1,2-epoxid (Epoxid distal zur B.). Analog ist 7,8,9,10-Tetrahydrobenz[a]pyren-9,10-epoxid stärker carcinogen als Tetrahydrobenz[a]pyren-7,8-epoxid. Ausnahmen schließen Chrysen und Benz[e]pyren ein, die eine B. besitzen, aber nur schwach carcinogen wirken. Diese Verbindungen werden rasch in Regionen distal zur B. angegriffen (Regionen relativ hoher Elektronendichte und mit Doppelbindungscharakter, die sog. "K"-Regionen) und bilden Diole, die schnell mit Sulfat oder Glucuronat konjugiert und dann ausgeschieden werden. (Abb.) Aflatoxine. [M.C. Macleod et al. Cancer Res. 39 (1979) 3.463-3.470]
Bay-Region. Polyzyklische Kohlenwasserstoffe und ihre Derivate. Die Bay-Regionen sind durch Pfeile gekennzeichnet.
A Phenanthren. B Benzanthracen. C Benz[a]pyren. D Chrysen. E Benz[c,d]pyren. F Benz[e]pyren. G Carboniumion des Benz[a]pyren-7,8-diol-9,10-epoxids. H 1,2,3,4-Tetrahydrophenanthren-3,4-epoxid. I 1,2,3,4-Tetrahydrophenanthren-1,2-epoxid. J 7,8,9,10-Tetrahydrobenz[a]pyren-9,10-epoxid. K 7,8,9,10-Tetrahydrobenz[a]pyren-7,8-epoxid.
Wenn Sie inhaltliche Anmerkungen zu diesem Artikel haben, können Sie die Redaktion per E-Mail informieren. Wir lesen Ihre Zuschrift, bitten jedoch um Verständnis, dass wir nicht jede beantworten können.